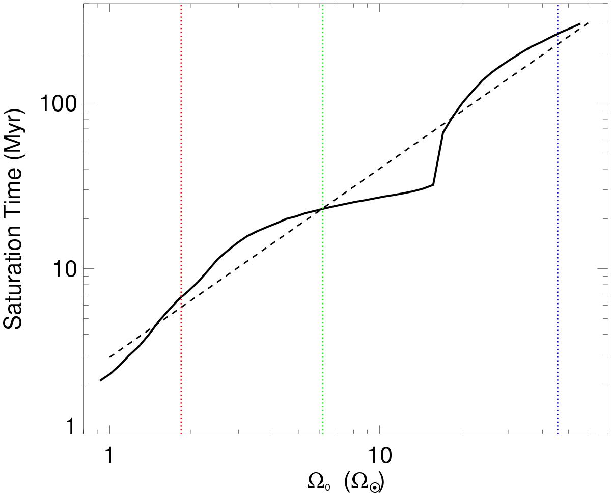
Fig. 3

Saturation time as a function of initial rotation rate Ω0. To calculate each rotation track, we fit power laws to the core-envelope coupling timescale and disk-locking timescales for our 10th, 50th, and 90th percentile models of and
, where the timescales are given in Myr and Ω0 is in solar units. The dashed line shows our best fit, given by Eq. (2), and the vertical lines show the saturation times of the 10th, 50th, and 90th percentile rotators.
Current usage metrics show cumulative count of Article Views (full-text article views including HTML views, PDF and ePub downloads, according to the available data) and Abstracts Views on Vision4Press platform.
Data correspond to usage on the plateform after 2015. The current usage metrics is available 48-96 hours after online publication and is updated daily on week days.
Initial download of the metrics may take a while.