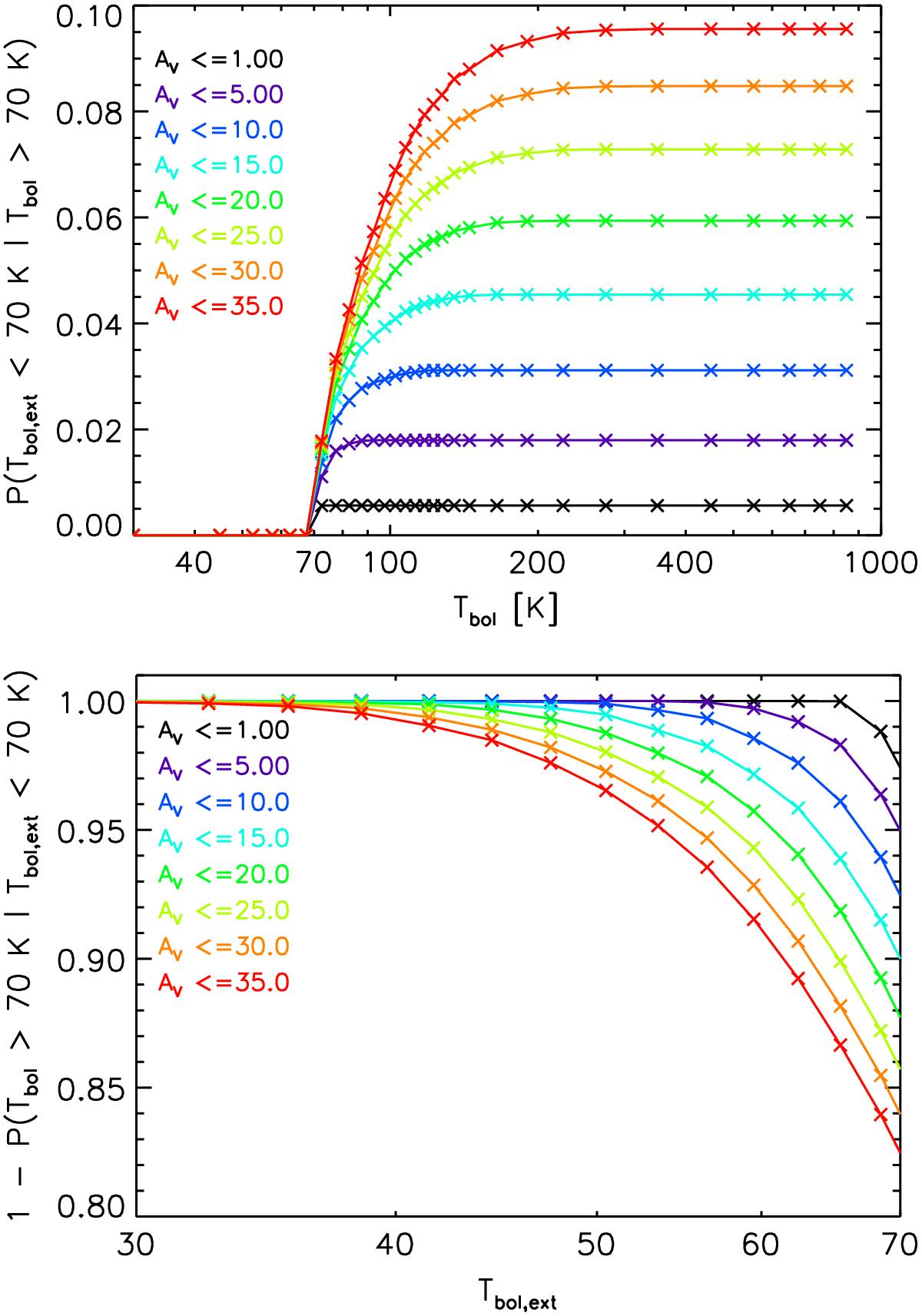
Fig. C.3

Top: probability that a source with a given Tbol> 70 K will have Tbol,ext< 70 K, marginalizing over a uniform foreground AV extinction distribution up to the listed value (shown in color). There is no Class 0 contamination from Class I models with Tbol> 400 K for the AV values we consider here. Bottom: probability that a source is correctly classified as a Class 0 source (has Tbol< 70 K).
Current usage metrics show cumulative count of Article Views (full-text article views including HTML views, PDF and ePub downloads, according to the available data) and Abstracts Views on Vision4Press platform.
Data correspond to usage on the plateform after 2015. The current usage metrics is available 48-96 hours after online publication and is updated daily on week days.
Initial download of the metrics may take a while.