Free Access
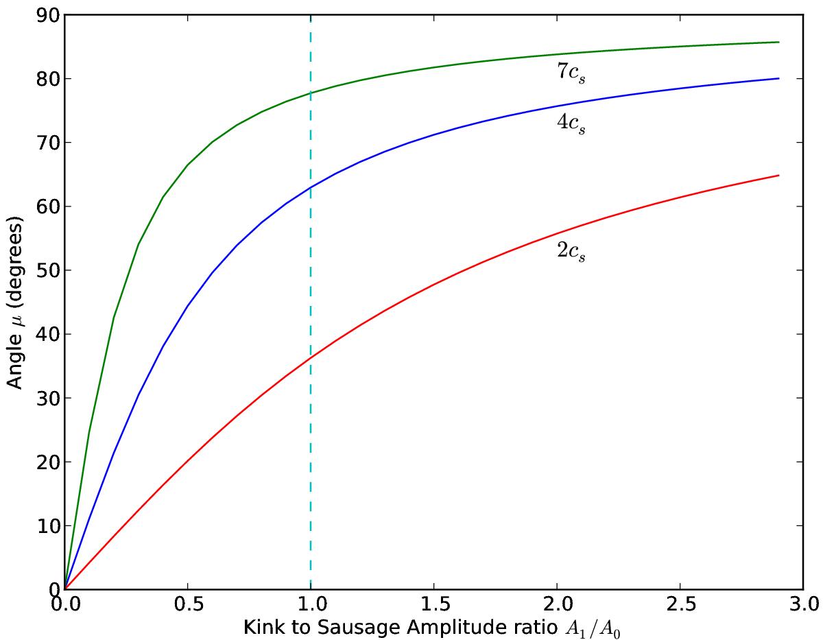
Fig. 4

Angle μ at which the dislocation will be seen following Eq. (14) for different velocities of the magnetoacoustic kink wave, assuming a sound speed cs = 100 km s-1, an Alfvén speed 10 times the speed of sound, a period of 3 min for the kink wave, and a 5% difference in frequency between the kink and the sausage waves.
Current usage metrics show cumulative count of Article Views (full-text article views including HTML views, PDF and ePub downloads, according to the available data) and Abstracts Views on Vision4Press platform.
Data correspond to usage on the plateform after 2015. The current usage metrics is available 48-96 hours after online publication and is updated daily on week days.
Initial download of the metrics may take a while.