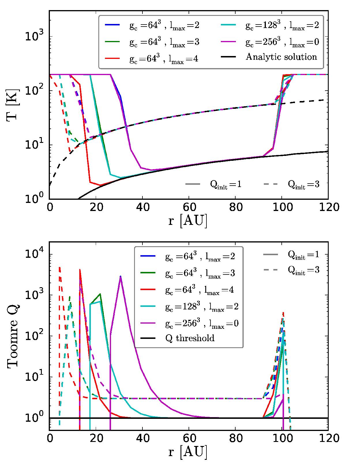
Fig. 2

Radial profiles for initial temperature T and effective Toomre Q parameter for simulations with Rdisk = 100. The temperature increases outward because of its dependence on Q (see Eq. (24)). Q is approximated correctly in the inner parts of the disk. In outer parts, where the density decreases for numerical reasons, Q rises, and thus artificially stabilizes the disk matter.
Current usage metrics show cumulative count of Article Views (full-text article views including HTML views, PDF and ePub downloads, according to the available data) and Abstracts Views on Vision4Press platform.
Data correspond to usage on the plateform after 2015. The current usage metrics is available 48-96 hours after online publication and is updated daily on week days.
Initial download of the metrics may take a while.