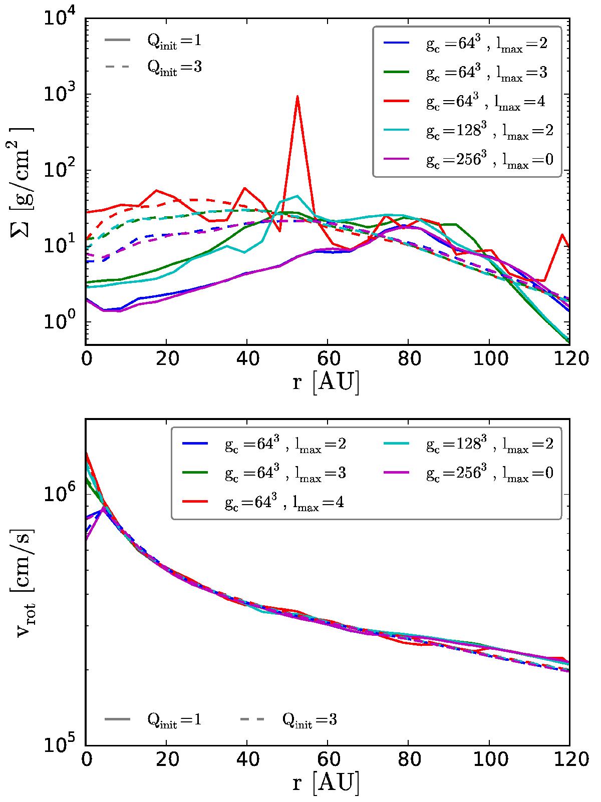
Fig. 7

Radial profiles of column density Σ and rotational velocity vrot for all simulations with Rdisk = 100 and t = 1.5 Tdisk. The runs with Qinit = 3 approximately follow the initially chosen density distribution. The Qinit = 1 disks show peaks at radii with distinct clumps or spiral structure (compare Figs. 5 and 6). The velocity profiles show only minor deviations from the general trend, which are due to the turbulent velocity in the most unstable regions.
Current usage metrics show cumulative count of Article Views (full-text article views including HTML views, PDF and ePub downloads, according to the available data) and Abstracts Views on Vision4Press platform.
Data correspond to usage on the plateform after 2015. The current usage metrics is available 48-96 hours after online publication and is updated daily on week days.
Initial download of the metrics may take a while.