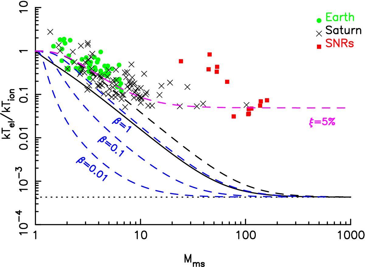
Fig. 1

Electron-ion temperature ratio expected for minimum electron-heating (solid black line, Eq. (13)), for the case of adiabatic heating of the electrons (dashed black line, Eq. (22)), and for magnetised plasmas with β = 0.01,0.1,1 (blue dashed line, Eq 31). In addition the expected ratio is shown if on top of various thermodynamic effects there is energy exchange between the electrons and ions at the level of 5% (magenta dashed line, Eq. (A.7)). For the calculation here it is assumed that the plasma consists of electrons, protons, and fully ionised helium, and the ion temperature is the average temperature of abundance weighted temperature of the protons and helium ions. The data points are from the compilation by Ghavamian et al. (2013), and represent measured values of the electron-ion temperature ratio behind the Earth bowshock (green circles, original data from Schwartz et al. 1988), Saturn’s bowshock as measured by the Cassini spacecraft (X-shaped symbols, Masters et al. 2013) and supernova remnants (red, solid squares, van Adelsberg et al. 2008). Note that for the supernova remnants the Mach numbers are not measured, but instead the estimated shock velocity has been divided by assumed interstellar sound speed of 11 km s-1 (Ghavamian et al. 2013).
Current usage metrics show cumulative count of Article Views (full-text article views including HTML views, PDF and ePub downloads, according to the available data) and Abstracts Views on Vision4Press platform.
Data correspond to usage on the plateform after 2015. The current usage metrics is available 48-96 hours after online publication and is updated daily on week days.
Initial download of the metrics may take a while.