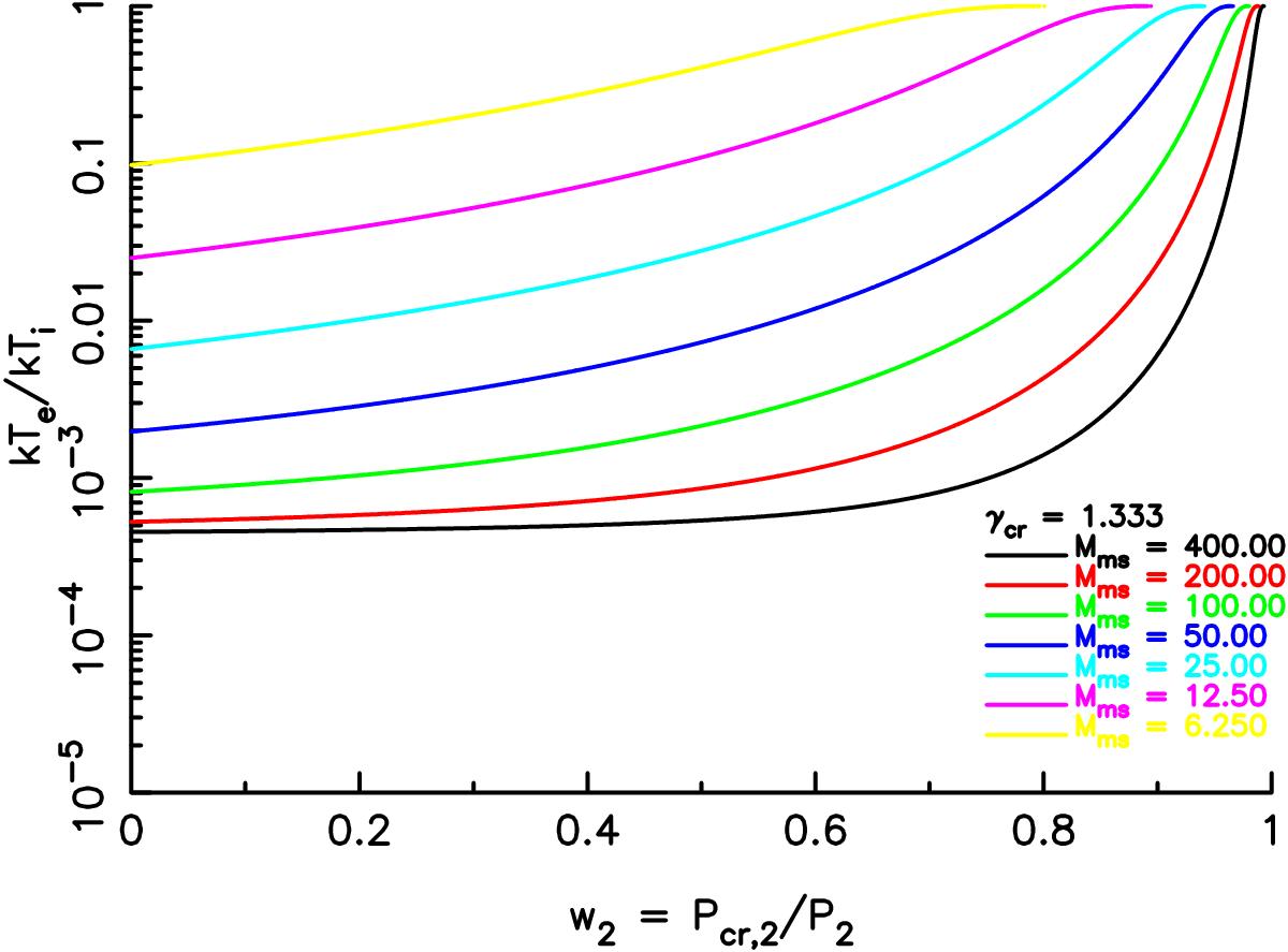
Fig. 3

Electron-ion temperature ratio as a function of cosmic ray acceleration efficiency. The efficiency is defined here as the fraction w2 of post-shock cosmic-ray pressure (assumed here to be characterised by an adiabatic index of γcr = 1.5) to the overall pressure. The cosmic-ray efficiency is linked to the Mach number at the sub-shock, which has been affected by the compression of the plasma in the cosmic-ray precursor. See Vink et al. (2010) and Vink & Yamazaki (2014) for details.
Current usage metrics show cumulative count of Article Views (full-text article views including HTML views, PDF and ePub downloads, according to the available data) and Abstracts Views on Vision4Press platform.
Data correspond to usage on the plateform after 2015. The current usage metrics is available 48-96 hours after online publication and is updated daily on week days.
Initial download of the metrics may take a while.