Free Access
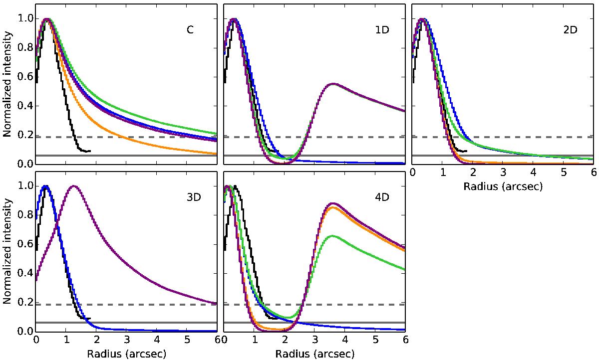
Fig. A.6

As in Fig. A.5 but for C18O. Gray solid and dashed lines show the 1σ and 3σ levels respectively. Note that constant CO abundance over-predicts the amount of C18O emission.
Current usage metrics show cumulative count of Article Views (full-text article views including HTML views, PDF and ePub downloads, according to the available data) and Abstracts Views on Vision4Press platform.
Data correspond to usage on the plateform after 2015. The current usage metrics is available 48-96 hours after online publication and is updated daily on week days.
Initial download of the metrics may take a while.