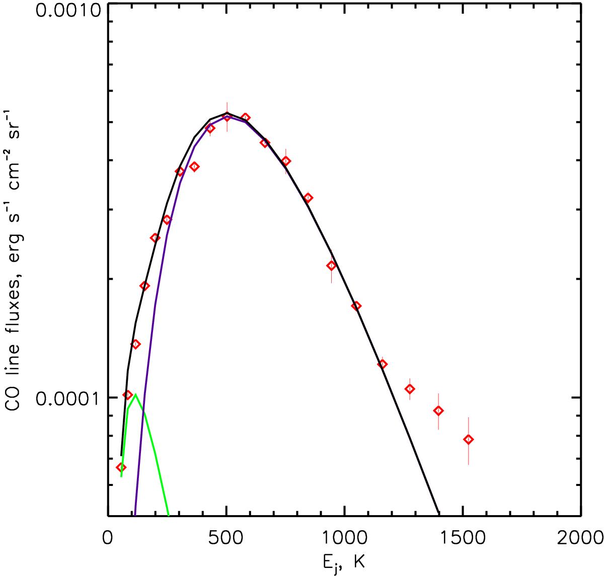
Fig. 7

Combination of RADEX models scaled to fit the S 106 12CO ladder. The low density component with log n = 4, T = 300 K is represented by the green line, while the dominant contribution arises from the dense component with log n = 5.6 and a temperature of 400 K which is represented by the purple line. The aggregate model (black line) matches the observed 12CO ladder from JU = 4 to 20.
Current usage metrics show cumulative count of Article Views (full-text article views including HTML views, PDF and ePub downloads, according to the available data) and Abstracts Views on Vision4Press platform.
Data correspond to usage on the plateform after 2015. The current usage metrics is available 48-96 hours after online publication and is updated daily on week days.
Initial download of the metrics may take a while.