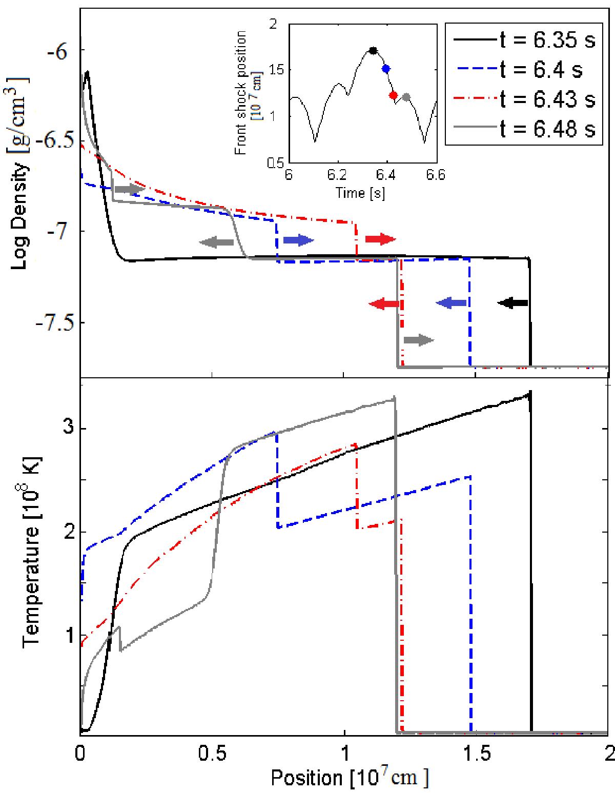
Fig. 3

Density (top) and temperature (bottom) profiles of the column at successive times across the oscillation (shown in the inset) for an accretion rate of ṁ = 10 g/cm2/s, a white dwarf of 0.8 M⊙, and a pure bremsstrahlung cooling. Starting after t = 6.35 s, a secondary shock clearly forms at the basis of the accretion column and propagates upstream while the main shock falls towards the white dwarf surface.
Current usage metrics show cumulative count of Article Views (full-text article views including HTML views, PDF and ePub downloads, according to the available data) and Abstracts Views on Vision4Press platform.
Data correspond to usage on the plateform after 2015. The current usage metrics is available 48-96 hours after online publication and is updated daily on week days.
Initial download of the metrics may take a while.