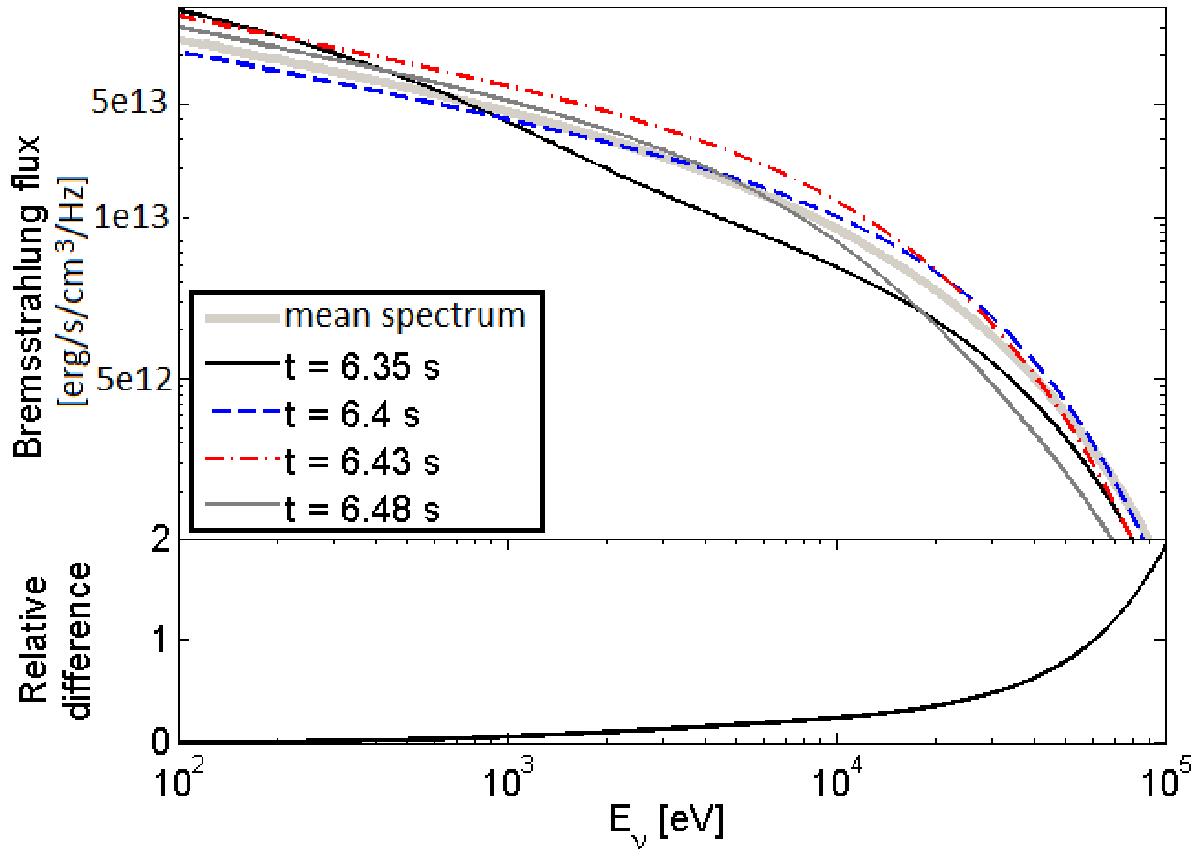
Fig. 5

Top: evolution of the emitted bremsstrahlung spectrum through the oscillation for the same parameters and the times indicated in the inset of Fig. 3. The mean spectrum calculated over a couple of oscillations is represented by the thick grey line. Bottom: relative difference between the mean spectrum and the spectrum emitted by the theoretical stationary column.
Current usage metrics show cumulative count of Article Views (full-text article views including HTML views, PDF and ePub downloads, according to the available data) and Abstracts Views on Vision4Press platform.
Data correspond to usage on the plateform after 2015. The current usage metrics is available 48-96 hours after online publication and is updated daily on week days.
Initial download of the metrics may take a while.