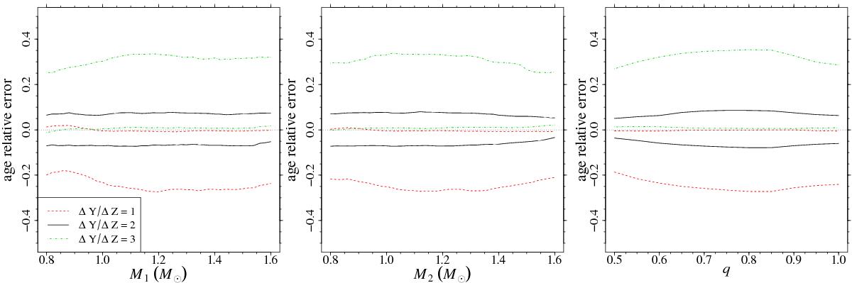
Fig. 7

Left: standard 1σ envelope of the binary system age relative error in dependence on the mass of the primary star (solid black), compared with the same quantity obtained by sampling from the grid with a different initial helium abundance computed assuming ΔY/ ΔZ = 1 (dashed red) and ΔY/ ΔZ = 3 (dot dashed green). Middle: same as the left panel, but in dependence on the mass of the secondary star. Right: same as the left panel, but in dependence on the system mass ratio q.
Current usage metrics show cumulative count of Article Views (full-text article views including HTML views, PDF and ePub downloads, according to the available data) and Abstracts Views on Vision4Press platform.
Data correspond to usage on the plateform after 2015. The current usage metrics is available 48-96 hours after online publication and is updated daily on week days.
Initial download of the metrics may take a while.