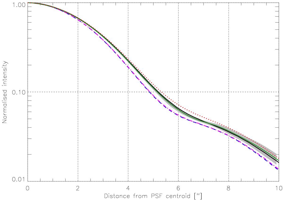
Fig. C.1

Normalised intensity profiles as a function of distance from the PSF centroid. The quasar 3C 454.3 is shown with a black solid line. The calibrator star profile is presented with a blue dashed line. The dashed-dotted magenta line indicates the Vesta PSF. The solid green line shows the mean of the nine Pluto observations (MM), while the filled grey area represents the measurement uncertainty. The faintest dust ring model detected at 3σ significance level is plotted with a dotted red line.
Current usage metrics show cumulative count of Article Views (full-text article views including HTML views, PDF and ePub downloads, according to the available data) and Abstracts Views on Vision4Press platform.
Data correspond to usage on the plateform after 2015. The current usage metrics is available 48-96 hours after online publication and is updated daily on week days.
Initial download of the metrics may take a while.