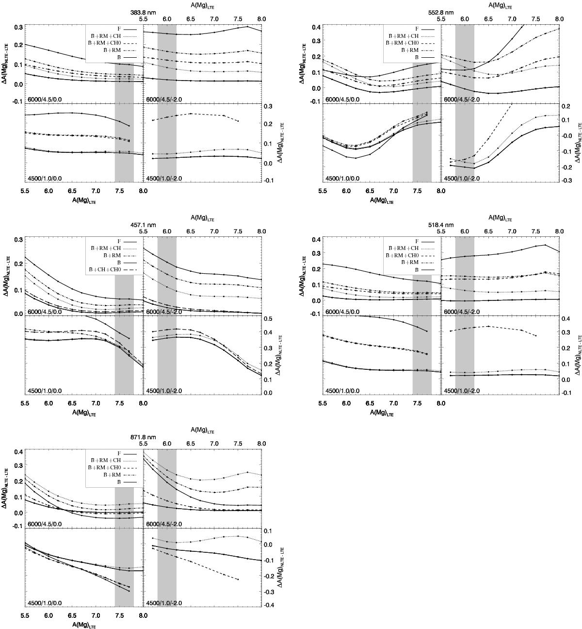
Fig. 10

Abundance corrections for the 3838 Å, 5528 Å, 4571 Å, 5184 Å, and 8718 Å lines in four different atmospheric models and using modified model atoms as described in the text. The model parameters are given at the bottom left of each figure with Teff/log g/[Fe/H]. The shaded region indicates the likely abundance of Mg for a normal star of given metallicity. The black circles show the calculated abundances; some lines have fewer points because the calculations with those parameters did not converge. Note that the model atoms shown in the 4571 Å line case differ from the others.
Current usage metrics show cumulative count of Article Views (full-text article views including HTML views, PDF and ePub downloads, according to the available data) and Abstracts Views on Vision4Press platform.
Data correspond to usage on the plateform after 2015. The current usage metrics is available 48-96 hours after online publication and is updated daily on week days.
Initial download of the metrics may take a while.