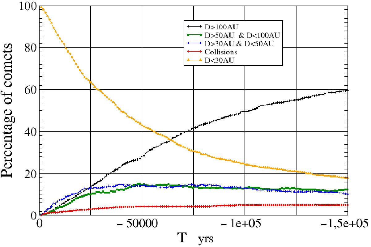
Fig. 5

Statistical evolution of the maximum distance from the Sun reached in the time interval [T,0],obtained by backward integrating a sample of simulated comets for 150 000 years. The initial epoch is identified by T = 0, the final one by T = −150 000 years. The sample of simulated comets is defined by 1000 initial conditions regularly spaced on ż0, with |ż0−ż∗| ≤ 10-7 (the other initial conditions are the same as ξ∗). At any given value of the time T, we represent the percentage ofsimulated comets whose maximum distance from the Sun in [T,0] is smaller than 30 AU, between 30 AU and 50 AU, between 50 and 100 AU, and larger than 100 AU. We also represent the percentage ofsimulated comets that passed under Jupiter’s Roche limit ( identified as collisions).
Current usage metrics show cumulative count of Article Views (full-text article views including HTML views, PDF and ePub downloads, according to the available data) and Abstracts Views on Vision4Press platform.
Data correspond to usage on the plateform after 2015. The current usage metrics is available 48-96 hours after online publication and is updated daily on week days.
Initial download of the metrics may take a while.