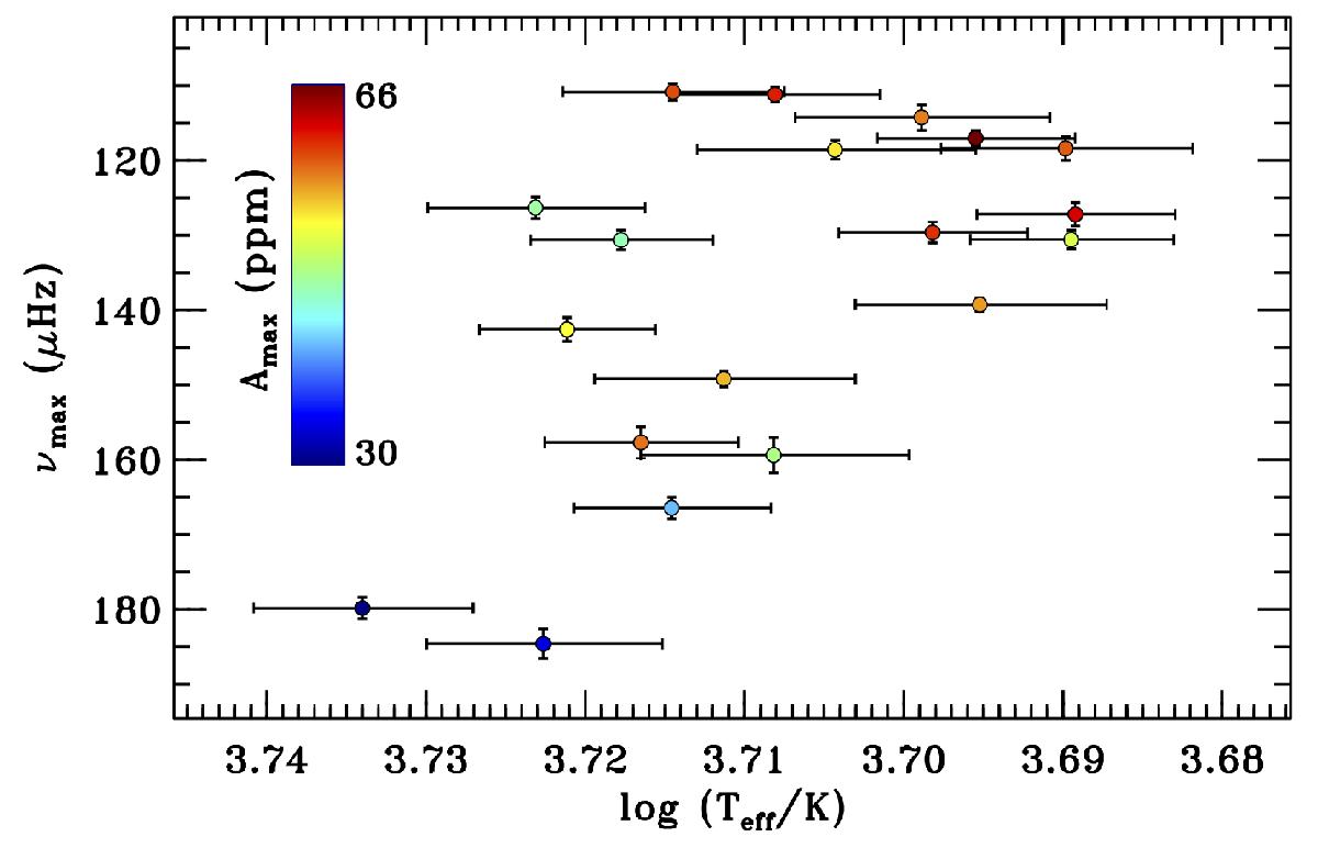
Fig. 1

Asteroseismic HRD νmax − Teff for the sample of 19 LRGs investigated. Amplitudes of maximum oscillation power, Amax, as measured by Huber et al. (2011) are indicated in color scale. All νmax values are provided by Huber et al. (2011), while temperatures are taken from Pinsonneault et al. (2012). 1σ error bars are indicated for both coordinates.
Current usage metrics show cumulative count of Article Views (full-text article views including HTML views, PDF and ePub downloads, according to the available data) and Abstracts Views on Vision4Press platform.
Data correspond to usage on the plateform after 2015. The current usage metrics is available 48-96 hours after online publication and is updated daily on week days.
Initial download of the metrics may take a while.