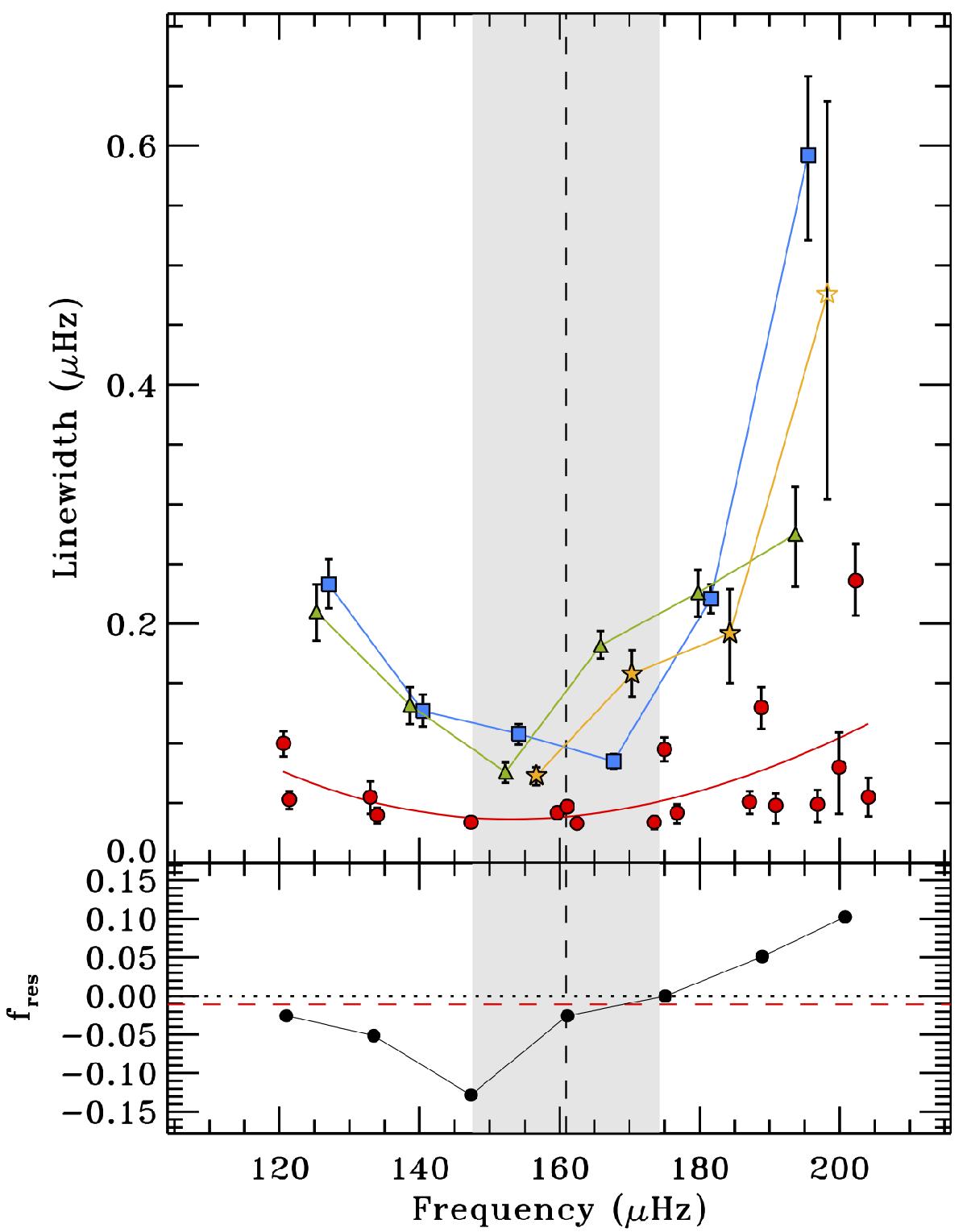
Fig. B.25

Mode linewidths for KIC 10123207 as a function of the corresponding oscillation frequencies. Top panel: linewidth measurements as defined by Eq. (5) for each angular degree (ℓ = 0 blue squares, ℓ = 2 green triangles, ℓ = 3 yellow stars, and resolved ℓ = 1 mixed modes red circles). Open symbols represent modes with detection probability under the suggested threshold (see Sect. 2.3). The 68% credible intervals for the linewidths as derived by Diamonds are shown for each data point. The red solid line represents a polynomial fit to the linewidths of the ℓ = 1 mixed modes, included to emphasize the trend with frequency. The shaded region represents the range νmax ± σenv, with νmax from Table A.2 indicated by the dashed vertical line. Bottom panel: the normalized fraction of resolved mixed modes with respect to unresolved ones, fres (black dots), defined by Eq. (18). The frequency position of each point is the average frequency of the resolved dipole mixed modes falling in each radial order (or that of the unresolved mixed modes if no resolved mixed modes are present). The horizontal dotted line represents the limit of resolved-dominated regime, as defined in Sect. 3.1, while the horizontal dashed red line marks the average fres given by Eq. (19).
Current usage metrics show cumulative count of Article Views (full-text article views including HTML views, PDF and ePub downloads, according to the available data) and Abstracts Views on Vision4Press platform.
Data correspond to usage on the plateform after 2015. The current usage metrics is available 48-96 hours after online publication and is updated daily on week days.
Initial download of the metrics may take a while.