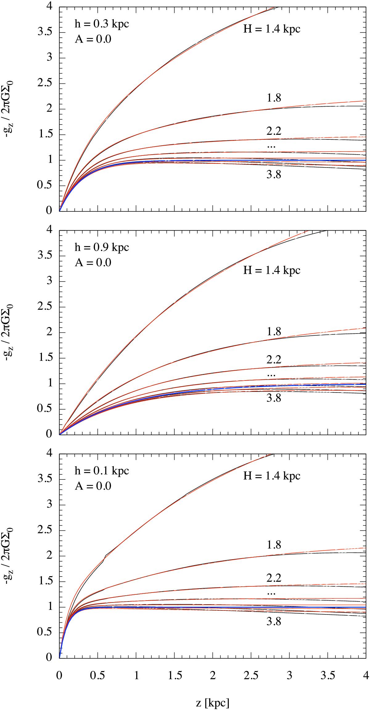
Fig. 1

The vertical gravity gz of axisymmetric doubly exponential MW discs and radial scale-lengths H = 1.4,1.8,2.2,2.6,3.0,3.4, and 3.8 kpc; the blue line is gz for a uniform infinite plane with the default local surface density Σ0 ≡ Σ(R0;A ≡ 0); the red lines are fits to gz(z< 3 kpc) assuming an additional effective infinite uniform disc component (see text).
Current usage metrics show cumulative count of Article Views (full-text article views including HTML views, PDF and ePub downloads, according to the available data) and Abstracts Views on Vision4Press platform.
Data correspond to usage on the plateform after 2015. The current usage metrics is available 48-96 hours after online publication and is updated daily on week days.
Initial download of the metrics may take a while.