Free Access
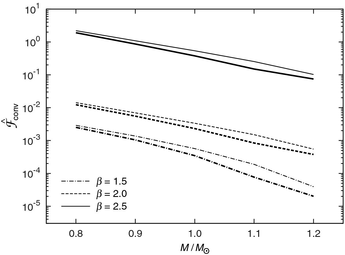
Fig. 9

Dependence on the stellar mass of the convective flux due to the convective settling process at the bottom of the convection zone. Three sets of models with β ∈ {1.5,2.0,2.5} are shown at ages of 1 Gyr (thin lines) and 5 Gyr (thick lines).
Current usage metrics show cumulative count of Article Views (full-text article views including HTML views, PDF and ePub downloads, according to the available data) and Abstracts Views on Vision4Press platform.
Data correspond to usage on the plateform after 2015. The current usage metrics is available 48-96 hours after online publication and is updated daily on week days.
Initial download of the metrics may take a while.