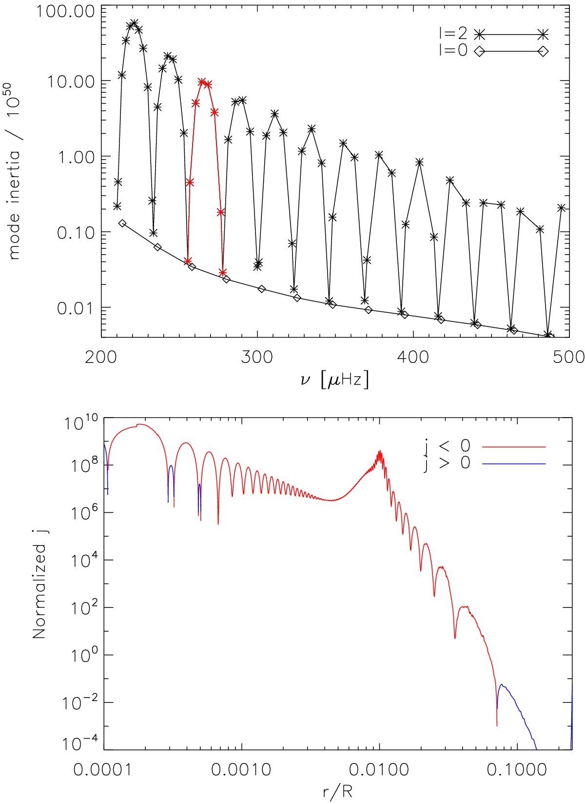
Fig. 3

Top panel: mode inertia versus mode frequencies for angular degrees ℓ = 0 and ℓ = 2. Mode inertias are computed by integrating the squared eigendisplacement over the stellar mass. Bottom panel: same as Fig. 2, except that is computed by considering the total contribution of the ℓ = 2 modes for the selected range displayed in red in the top panel.
Current usage metrics show cumulative count of Article Views (full-text article views including HTML views, PDF and ePub downloads, according to the available data) and Abstracts Views on Vision4Press platform.
Data correspond to usage on the plateform after 2015. The current usage metrics is available 48-96 hours after online publication and is updated daily on week days.
Initial download of the metrics may take a while.