Free Access
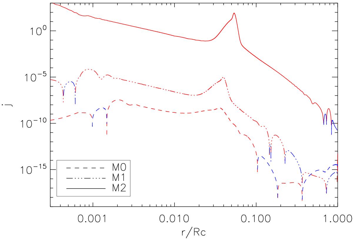
Fig. 4

Rate of temporal variation of the mean specific angular momentum ( as defined by Eq. (17)) as a function of the star radius normalised by the radius of the base of the convective envelope. Red corresponds to
and blue to
.
Current usage metrics show cumulative count of Article Views (full-text article views including HTML views, PDF and ePub downloads, according to the available data) and Abstracts Views on Vision4Press platform.
Data correspond to usage on the plateform after 2015. The current usage metrics is available 48-96 hours after online publication and is updated daily on week days.
Initial download of the metrics may take a while.