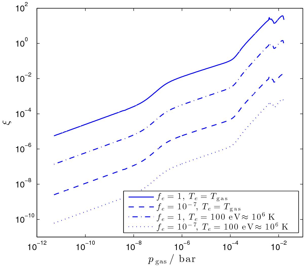
Fig. 3

Ratio of the dust grain radius to the sheath extent ξ = a/dsh as a function of atmospheric gas pressure pgas for the same model atmosphere as in Fig. 1. ξ is plotted for a = ⟨ a ⟩, for degrees of ionization fe = 10-7 and 1 and electron temperatures Te = Tgas ( K)) and Te = 100 eV (≈ 106 K) representing the bounds of parameter space.
Current usage metrics show cumulative count of Article Views (full-text article views including HTML views, PDF and ePub downloads, according to the available data) and Abstracts Views on Vision4Press platform.
Data correspond to usage on the plateform after 2015. The current usage metrics is available 48-96 hours after online publication and is updated daily on week days.
Initial download of the metrics may take a while.