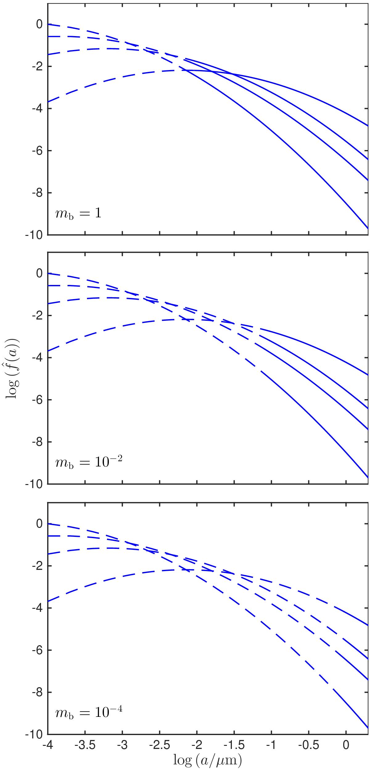
Fig. 7

Normalized lognormal particle size distribution function as a function of particle radius a for various atmospheric heights. The distribution function is shown for atmospheric pressures pgas ≈ 10-9, 10-6, 10-4 and 10-2 bar respectively, to exemplify its evolution with atmospheric height. Regions of the size distribution function that are Coulomb unstable are denoted with a dashed line, whereas regions of the size distribution that are Coulomb stable are denoted by a solid line.
Current usage metrics show cumulative count of Article Views (full-text article views including HTML views, PDF and ePub downloads, according to the available data) and Abstracts Views on Vision4Press platform.
Data correspond to usage on the plateform after 2015. The current usage metrics is available 48-96 hours after online publication and is updated daily on week days.
Initial download of the metrics may take a while.