Free Access
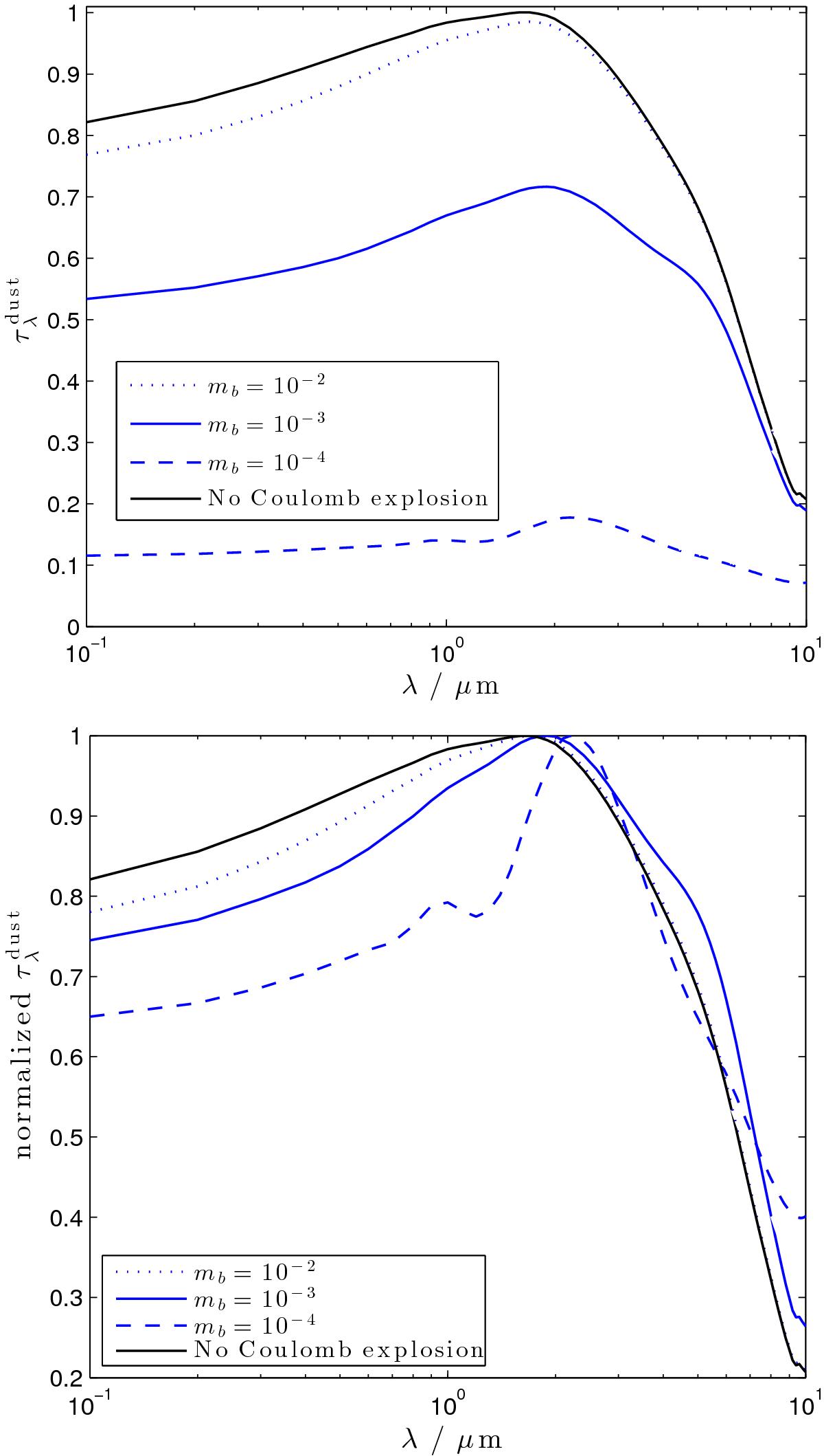
Fig. 8

Dust optical depth for an atmospheric plasma region where the Coulomb explosion of dust occurs. The top panel shows the absolute dust optical depth and the bottom panel shows the dust optical depth normalized by its maximum value so that a comparison of their profiles can be made.
This figure is made of several images, please see below:
Current usage metrics show cumulative count of Article Views (full-text article views including HTML views, PDF and ePub downloads, according to the available data) and Abstracts Views on Vision4Press platform.
Data correspond to usage on the plateform after 2015. The current usage metrics is available 48-96 hours after online publication and is updated daily on week days.
Initial download of the metrics may take a while.