Free Access
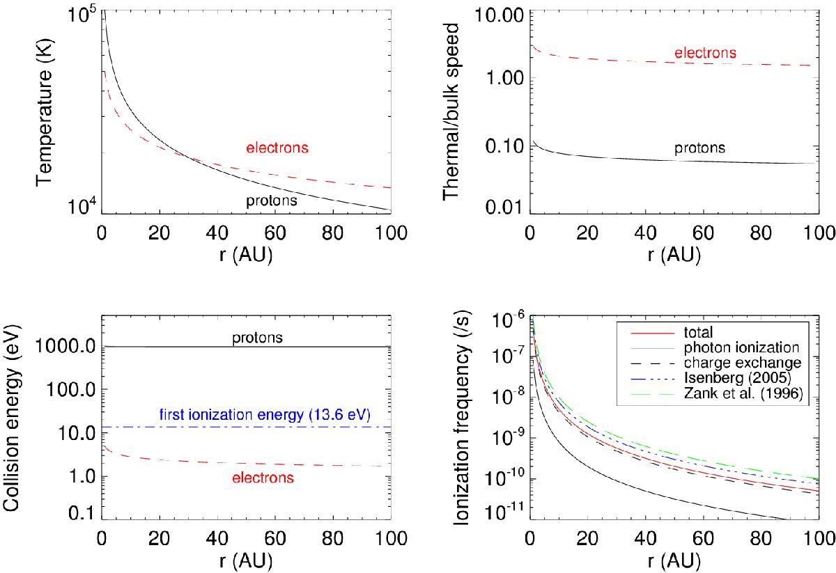
Fig. 1

Radial dependence of the temperature, ratio of the thermal and bulk components of the collision speed, and resulting collision energy for protons and electrons. The bottom right panel shows the calculated ionization frequencies, compared to previous estimates.
Current usage metrics show cumulative count of Article Views (full-text article views including HTML views, PDF and ePub downloads, according to the available data) and Abstracts Views on Vision4Press platform.
Data correspond to usage on the plateform after 2015. The current usage metrics is available 48-96 hours after online publication and is updated daily on week days.
Initial download of the metrics may take a while.