Fig. 2

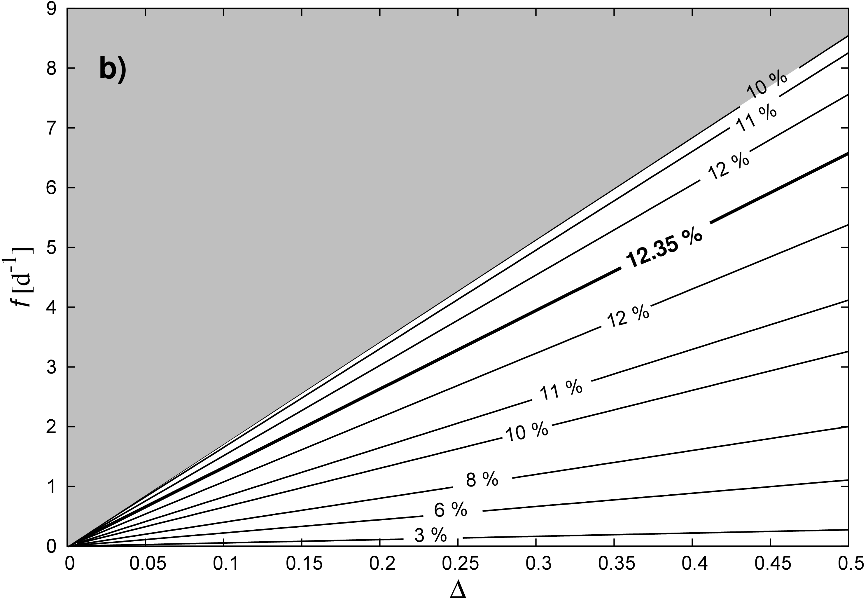
For an assumed asteroid orbit typical of the Flora basin, namely a = 2.22 au, e = 0.1, the gray area at the top of both panels shows the region in the rotation frequency f = ω/ 2π and Δ plane, where the resonance zone about the Cassini state C2 does not exist for s = s6 = −26.34′′/yr frequency and I = I6 = 1.1° inclination. Conversely, the resonance zone exists in the white zone at the bottom of the panels. Top: for simplicity, we assume a Maxwellian distribution of f with a maximum probability density at 8 h rotation period (corresponding to the characteristics of large asteroids, e.g., Pravec et al. 2002), and a Gaussian distribution for the probability density of Δ, truncated and normalized to the definition interval 0 to 0.5, with a maximum at 0.25 and a standard deviation of 0.06 (roughly corresponding to typical asteroid shapes, e.g., Vokrouhlický & Čapek 2002). With these properties, the Cassini resonance characterized by | κ | >κ⋆ exists for 72% of cases. The isolines at the bottom of panel a) show regions of maximum probability density, with the label by the isoline depicting the total weight of the states enclosed by the curve in the white part of the graph. Bottom: using formulas given by Henrard & Murigande (1987), we calculate the area of the Cassini resonance zone about C2 on a unit sphere, normalized to its total area 4π, for each of the f and Δ combination in the plot (and other orbital parameters noted above). The isolines in panel b) show the result expressed in percents, indicating that the resonance zone typically covers ≃10% of the sphere.
Current usage metrics show cumulative count of Article Views (full-text article views including HTML views, PDF and ePub downloads, according to the available data) and Abstracts Views on Vision4Press platform.
Data correspond to usage on the plateform after 2015. The current usage metrics is available 48-96 hours after online publication and is updated daily on week days.
Initial download of the metrics may take a while.