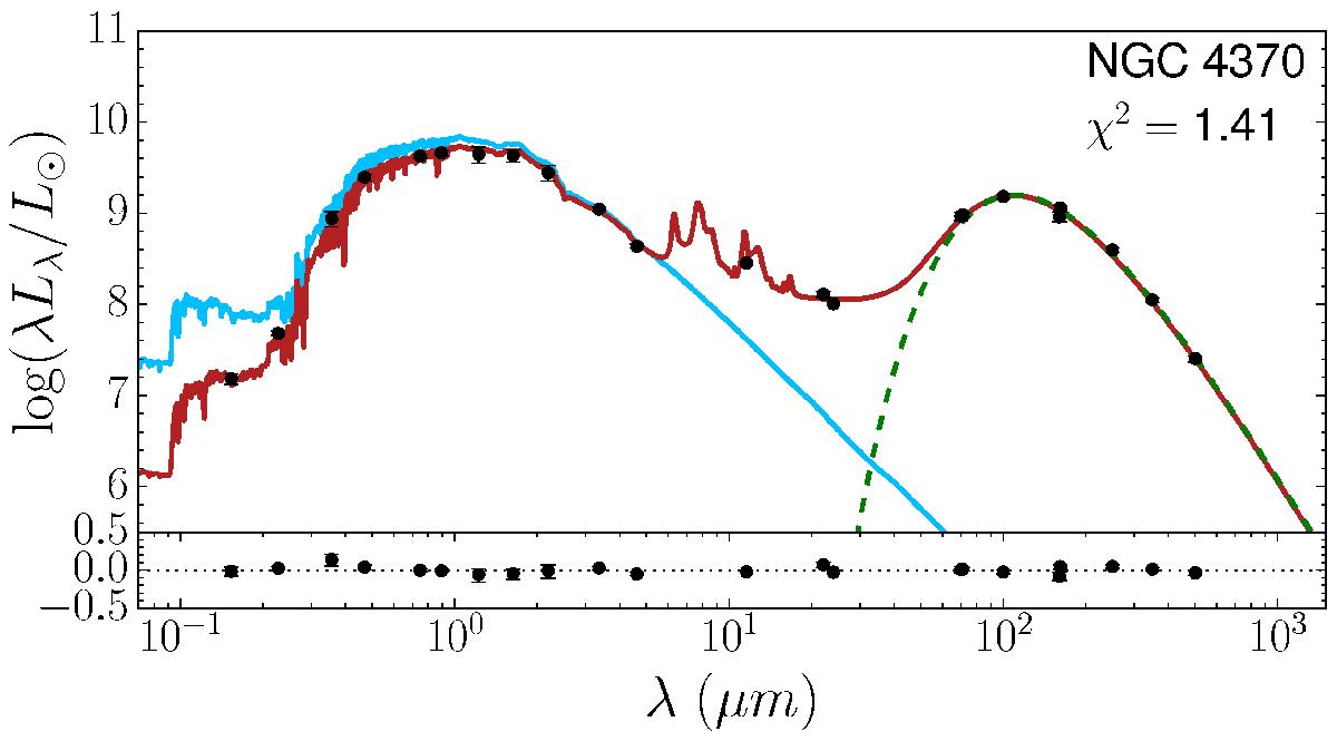
Fig. 2

MAGPHYS fit of the panchromatic SED of NGC 4370. The black points are the observed fluxes, the blue line is the unattenuated (stellar) SED, and the red line the attenuated, best-fitting template SED. The residuals are plotted below. The dashed green line is the best-fitting modified black body function to the Herschel fluxes.
Current usage metrics show cumulative count of Article Views (full-text article views including HTML views, PDF and ePub downloads, according to the available data) and Abstracts Views on Vision4Press platform.
Data correspond to usage on the plateform after 2015. The current usage metrics is available 48-96 hours after online publication and is updated daily on week days.
Initial download of the metrics may take a while.