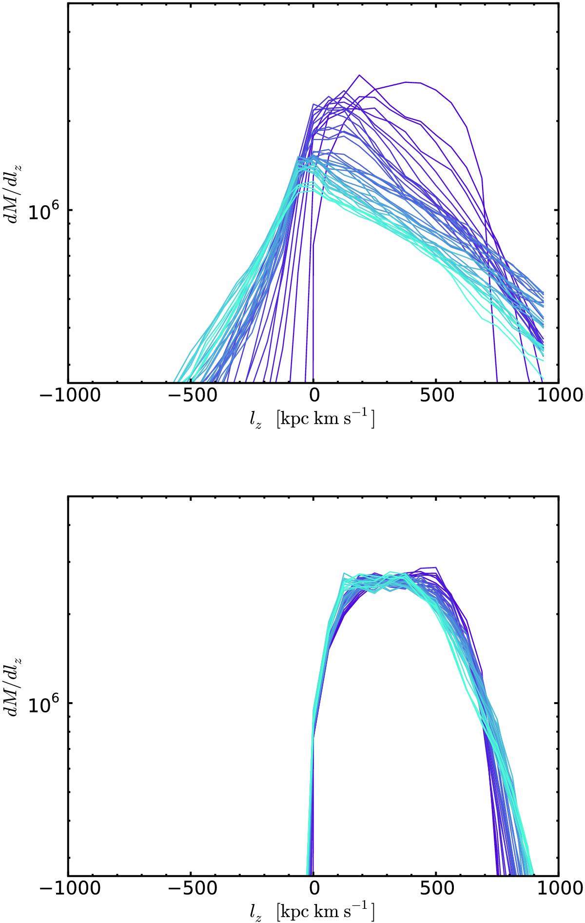
Fig. 11

Adiabatic accretion with subsonic turbulence (top: Ma ~ 0.35; bottom: 1/4 lower Mach number, i.e., Tat ~ 3) and erot = 0.3: mass PDF per bin of specific angular momentum lz, for the gas within r< 8 kpc (cf. Fig. 4). If Tat< 1, turbulence widens the PDF, inducing both retrograde and prograde motions. In the opposite regime, Tat > 1, turbulence is too weak to induce retrograde motions: the underlying counter-clockwise rotation remains intact overall, with minor fluctuations superimposed.
Current usage metrics show cumulative count of Article Views (full-text article views including HTML views, PDF and ePub downloads, according to the available data) and Abstracts Views on Vision4Press platform.
Data correspond to usage on the plateform after 2015. The current usage metrics is available 48-96 hours after online publication and is updated daily on week days.
Initial download of the metrics may take a while.