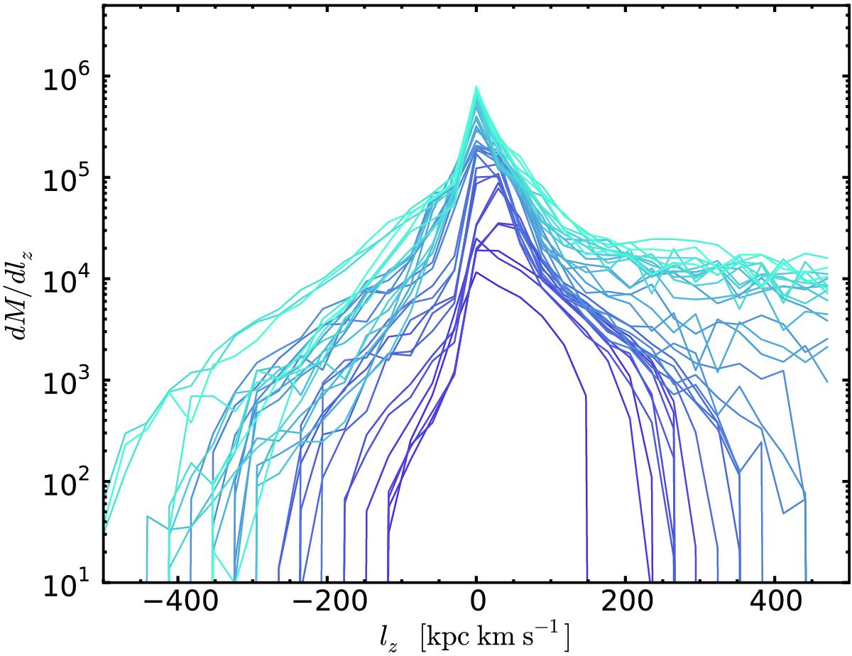
Fig. 15

Accretion with cooling, turbulence (Ma ~ 0.35), and erot = 0.3: mass PDF per bin of specific angular momentum lz, for the cold phase (the hot phase has PDF analogous to Fig. 11, top). At variance with the purely radiative run, the cold phase randomly condenses out of a broad lz distribution, including both prograde and retrograde motions. This permits frequent major collisions, canceling angular momentum. The mass of unaccreted cold gas tends to significantly rise with time due to the unheated cooling flow.
Current usage metrics show cumulative count of Article Views (full-text article views including HTML views, PDF and ePub downloads, according to the available data) and Abstracts Views on Vision4Press platform.
Data correspond to usage on the plateform after 2015. The current usage metrics is available 48-96 hours after online publication and is updated daily on week days.
Initial download of the metrics may take a while.