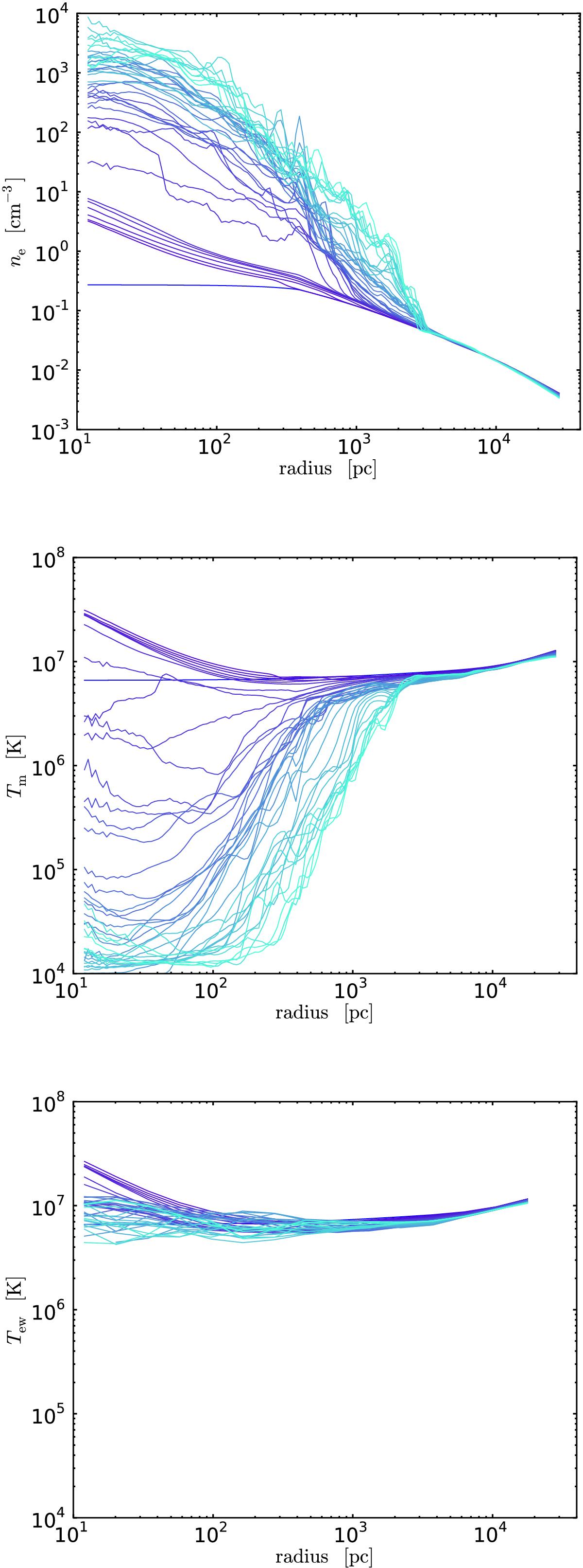
Fig. 16

Accretion with cooling, turbulence (Ma ~ 0.35), and erot = 0.3: mass– and emission–weighted radial profiles of density and temperature (cf. Fig. 7). The profiles show the condensation of warm gas out of the hot phase via TI up to several kpc. The X-ray temperature is flat, with no cuspy core, which is a characteristic mark of cold accretion.
Current usage metrics show cumulative count of Article Views (full-text article views including HTML views, PDF and ePub downloads, according to the available data) and Abstracts Views on Vision4Press platform.
Data correspond to usage on the plateform after 2015. The current usage metrics is available 48-96 hours after online publication and is updated daily on week days.
Initial download of the metrics may take a while.