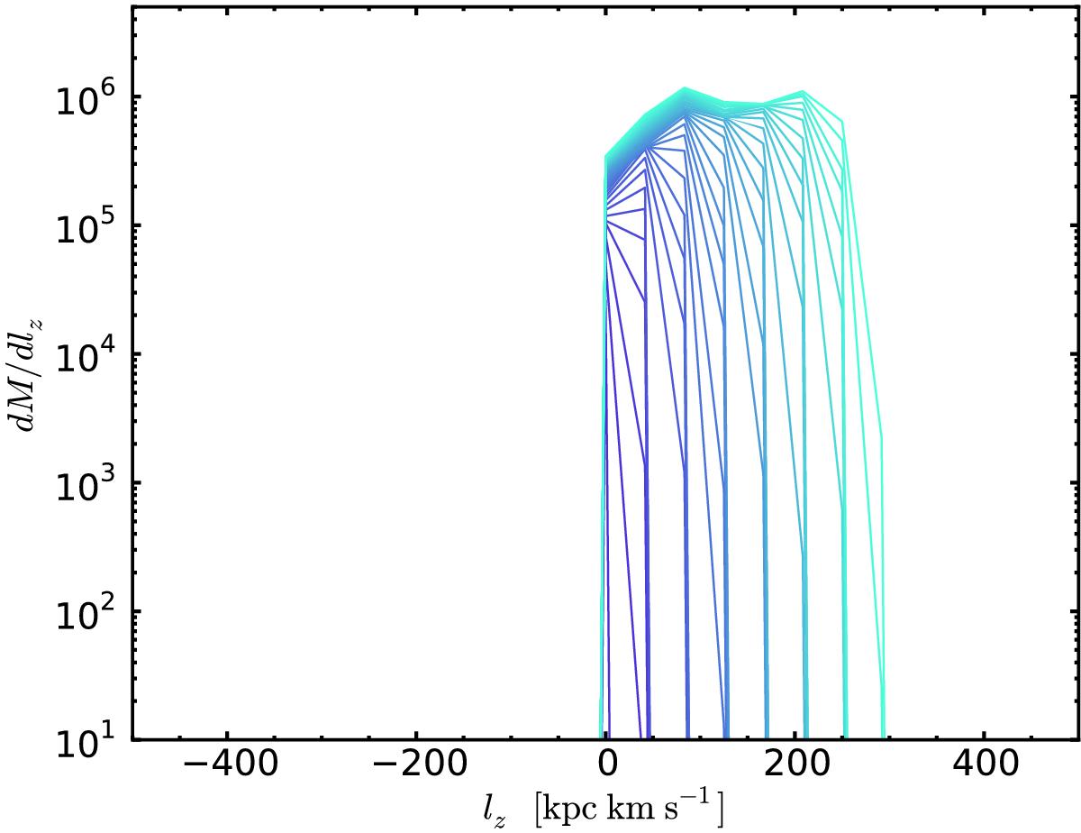
Fig. 8

Accretion with cooling and erot = 0.3: mass PDF per bin of specific angular momentum lz, for the cold phase (full evolution from blue to cyan lines). Cold gas is related to T< 105 K. The PDF of the hot phase (not shown) is analogous to that in Fig. 4, albeit shifting by ~15 percent to higher normalization and lz. The cold phase emerges out of this distribution, adding during time higher lz gas, and thus widening the PDF.
Current usage metrics show cumulative count of Article Views (full-text article views including HTML views, PDF and ePub downloads, according to the available data) and Abstracts Views on Vision4Press platform.
Data correspond to usage on the plateform after 2015. The current usage metrics is available 48-96 hours after online publication and is updated daily on week days.
Initial download of the metrics may take a while.