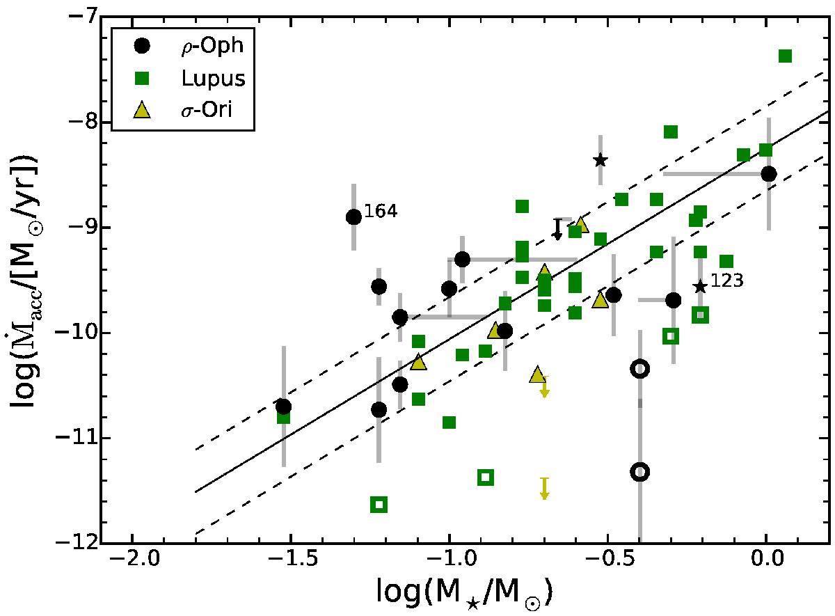
Fig. 10

Mass accretion rate as a function of mass for the whole ρ-Oph sample discussed here (black symbols) and for the Lupus sample of Alcalá et al. (2014), reported with green symbols. Upper limits are shown as downward arrows. Symbols are as in Fig. 9. The continuous line represents the linear fit of this relation for the Lupus sample (Alcalá et al. 2014), and the dashed lines represent the 1σ deviation from the fit.
Current usage metrics show cumulative count of Article Views (full-text article views including HTML views, PDF and ePub downloads, according to the available data) and Abstracts Views on Vision4Press platform.
Data correspond to usage on the plateform after 2015. The current usage metrics is available 48-96 hours after online publication and is updated daily on week days.
Initial download of the metrics may take a while.