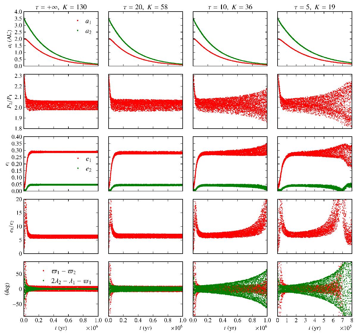
Fig. 3

Same as Fig. 2 but for GJ 876b, c. We used τ = +∞, 20, 10, 5 with K = 130, 58, 36, 19, respectively, for the four shown simulations (four columns). The last simulation (τ = 5, K = 19) ended before 106 yr (around 8 × 105 yr) because of orbital instability when the system escaped from resonance. The amplitude of libration decreases for the first two simulations (τ = +∞, 20) and increases for the last two (τ = 10, 5). The value given by our analytical criterion for the transition between decreasing and increasing amplitude is τ ~ 42.
Current usage metrics show cumulative count of Article Views (full-text article views including HTML views, PDF and ePub downloads, according to the available data) and Abstracts Views on Vision4Press platform.
Data correspond to usage on the plateform after 2015. The current usage metrics is available 48-96 hours after online publication and is updated daily on week days.
Initial download of the metrics may take a while.