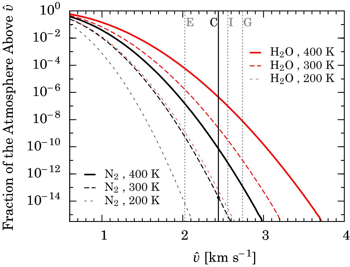
Fig. 2

Integrated Maxwell–Boltzmann velocity distribution of N2 and H2O gas molecules with temperatures similar to Callisto’s surface temperature during accretion. The black vertical line denotes Callisto’s escape velocity, values for the other Galilean moons are indicated by gray vertical lines. The black circle refers to an example discussed in the text.
Current usage metrics show cumulative count of Article Views (full-text article views including HTML views, PDF and ePub downloads, according to the available data) and Abstracts Views on Vision4Press platform.
Data correspond to usage on the plateform after 2015. The current usage metrics is available 48-96 hours after online publication and is updated daily on week days.
Initial download of the metrics may take a while.