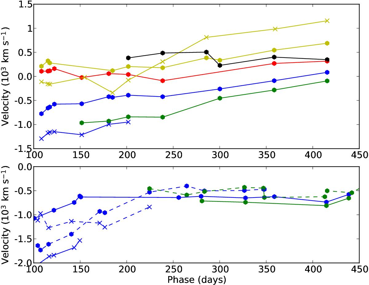
Fig. 13

Upper panel: center of flux velocities for the [O i] 6300, 6364 Å (blue circles), [O i] 5577 Å (blue crosses), Mg i] 4571 Å (green circles), [Ca ii] 7291, 7323 Å (yellow circles), Ca ii 8498, 8542, 8662 Å (yellow crosses), Na i 5890, 5896 Å (red circles), and [Fe ii] 7155 Å (black circles) lines for SN 2011dh. Lower panel: center of flux velocities for the [O i] 6300, 6364 Å (blue circles), [O i] 5577 Å (blue crosses), and Mg i] 4571 Å (green circles) lines for SNe 1993J (dashed lines) and 2008ax (solid lines).
Current usage metrics show cumulative count of Article Views (full-text article views including HTML views, PDF and ePub downloads, according to the available data) and Abstracts Views on Vision4Press platform.
Data correspond to usage on the plateform after 2015. The current usage metrics is available 48-96 hours after online publication and is updated daily on week days.
Initial download of the metrics may take a while.