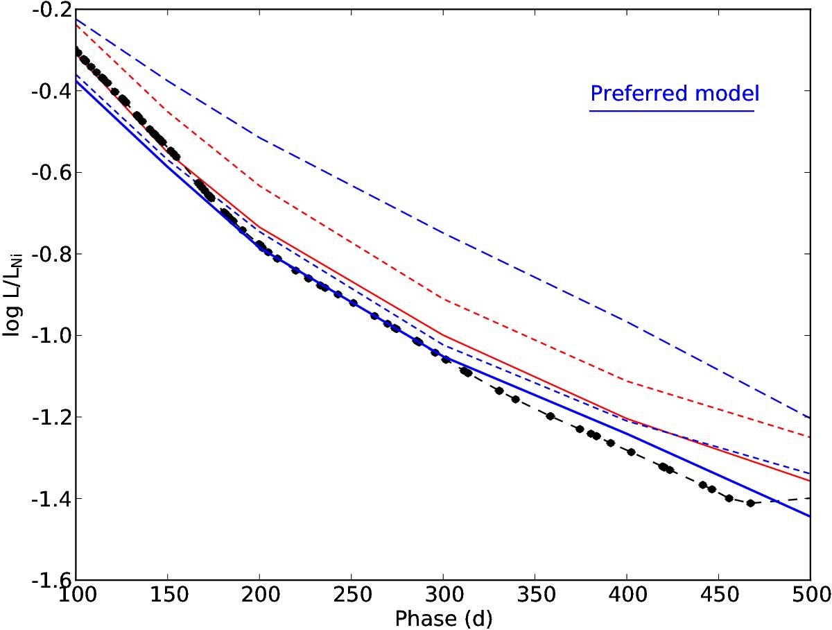
Fig. 15

Observed (black circles) and J14 model optical-to-MIR pseudo-bolometric lightcurves between days 100 and 500 normalized to the radioactive decay chain luminosity of 0.075 M⊙ of 56Ni. Selected representatives (12A, 12F, 13A, 13C, 17A) of the model families differing in initial mass (12 M⊙, solid; 13 M⊙, short-dashed; 17 M⊙, long-dashed) and macroscopic mixing (medium, red; strong, blue) are shown. Following this coding, the preferred model is shown as a blue solid line.
Current usage metrics show cumulative count of Article Views (full-text article views including HTML views, PDF and ePub downloads, according to the available data) and Abstracts Views on Vision4Press platform.
Data correspond to usage on the plateform after 2015. The current usage metrics is available 48-96 hours after online publication and is updated daily on week days.
Initial download of the metrics may take a while.