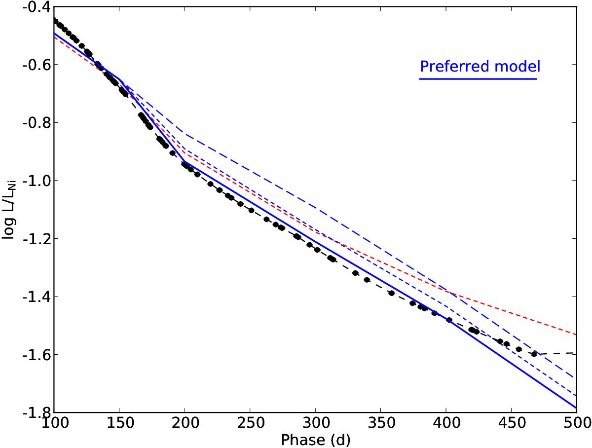
Fig. 16

Observed (black circles) and J14 model optical pseudo-bolometric lightcurves between days 100 and 500 normalized to the radioactive decay chain luminosity of 0.075 M⊙ of 56Ni. The preferred model (12F, blue solid line), model 12C (blue short-dashed line) and model 12E (blue long-dashed line), which differ only in the optical depth (12F, 0.44; 12C, 0.25; 12E, 0) and temperature of the dust, are shown together with model 12B (red short-dashed line), which differs from model 12C only in the positron trapping (12C, local; 12B, non-local).
Current usage metrics show cumulative count of Article Views (full-text article views including HTML views, PDF and ePub downloads, according to the available data) and Abstracts Views on Vision4Press platform.
Data correspond to usage on the plateform after 2015. The current usage metrics is available 48-96 hours after online publication and is updated daily on week days.
Initial download of the metrics may take a while.