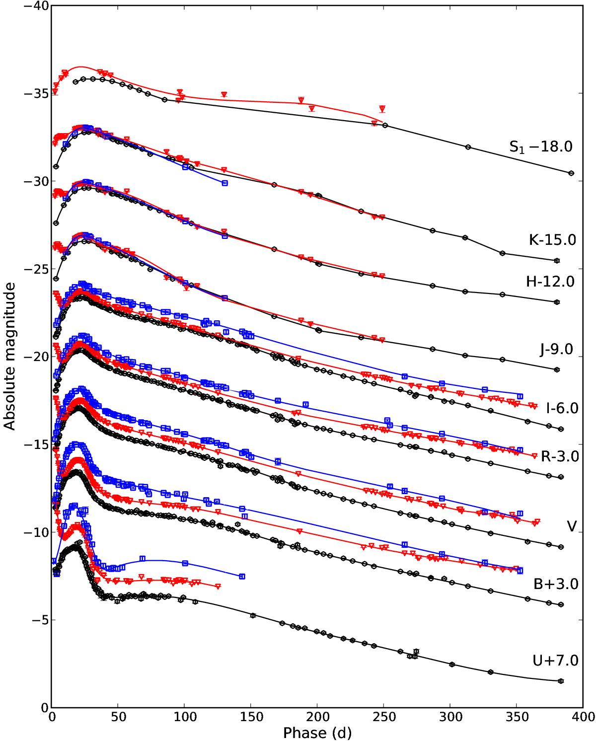
Fig. 2

Absolute optical, NIR, and MIR broad-band lightcurves before day 400 for SNe 2011dh (black circles), 1993J (red triangles), and 2008ax (blue squares). For clarity each band has been shifted in magnitude and the lightcurve annotated with the shift applied. We also show combinations of spline fits, interpolations, and extrapolations (solid lines) used e.g. in the calculations of the pseudo-bolometric lightcurves.
Current usage metrics show cumulative count of Article Views (full-text article views including HTML views, PDF and ePub downloads, according to the available data) and Abstracts Views on Vision4Press platform.
Data correspond to usage on the plateform after 2015. The current usage metrics is available 48-96 hours after online publication and is updated daily on week days.
Initial download of the metrics may take a while.