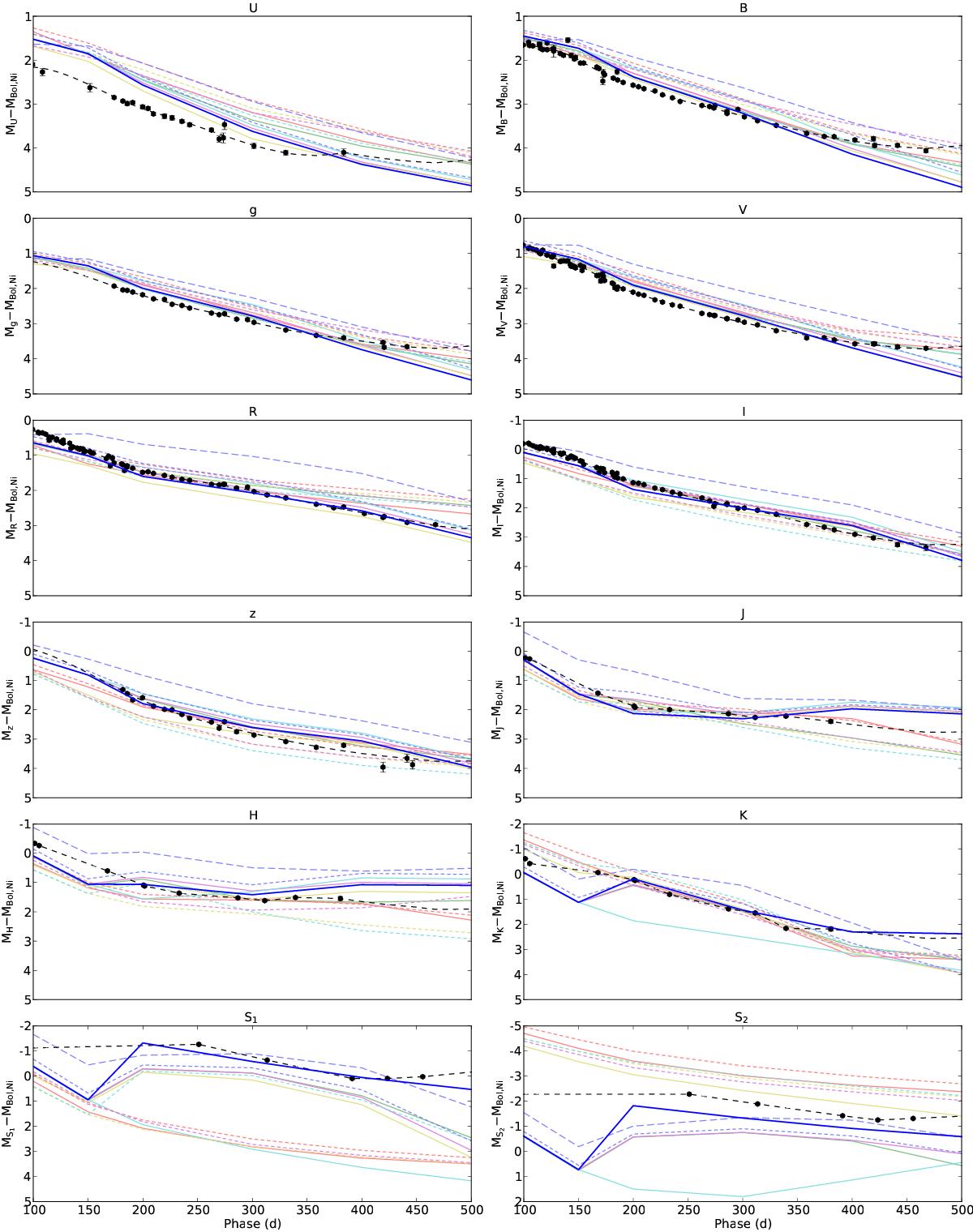
Fig. 17

Observed (black circles) and J14 model optical, NIR, and MIR (absolute) magnitudes between days 100 and 500 normalized to the radioactive decay chain luminosity of 0.075 M⊙ of 56Ni. The preferred model (12F) is shown as a blue solid line. The other models are shown in shaded colour as follows: 12A (red solid line), 12B (green solid line), 12C (magenta solid line), 12D (yellow solid line), 12E (cyan solid line), 13A (red short-dashed line), 13C (yellow short-dashed line), 13D (cyan short-dashed line), 13E (magenta short-dashed line), 13G (blue short-dashed line), 17A (blue long-dashed line).
Current usage metrics show cumulative count of Article Views (full-text article views including HTML views, PDF and ePub downloads, according to the available data) and Abstracts Views on Vision4Press platform.
Data correspond to usage on the plateform after 2015. The current usage metrics is available 48-96 hours after online publication and is updated daily on week days.
Initial download of the metrics may take a while.