Fig. 4

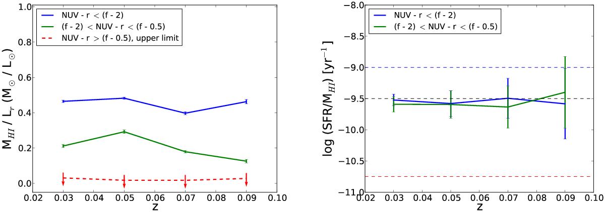
Left: H I mass-luminosity ratio of galaxies in our current color selection of blue cloud, green valley and red sequence objects. Red arrows and dashed lines indicate the 3σ upper limits. Right: SFE of blue cloud/green valley objects. The blue dashed line indicates the region of high efficiency SF, whereas the low efficiency region is marked by a red dashed line. The error on the SFR is estimated from the 3σ NUV flux errors.
Current usage metrics show cumulative count of Article Views (full-text article views including HTML views, PDF and ePub downloads, according to the available data) and Abstracts Views on Vision4Press platform.
Data correspond to usage on the plateform after 2015. The current usage metrics is available 48-96 hours after online publication and is updated daily on week days.
Initial download of the metrics may take a while.