Free Access
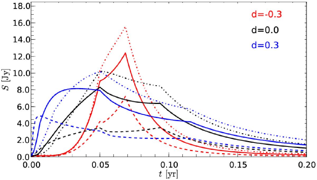
Fig. 5

High-frequency (86 to 345 GHz) light curves computed for three different values of d while keeping b = 1.5, s = 2.5, ρ = 1, and k = 3.0 fixed. The dashed lines correspond to 345 GHz, the solid ones to 140 GHz and the dot-dashed ones to 86 GHz. See text for more details.
Current usage metrics show cumulative count of Article Views (full-text article views including HTML views, PDF and ePub downloads, according to the available data) and Abstracts Views on Vision4Press platform.
Data correspond to usage on the plateform after 2015. The current usage metrics is available 48-96 hours after online publication and is updated daily on week days.
Initial download of the metrics may take a while.