Free Access
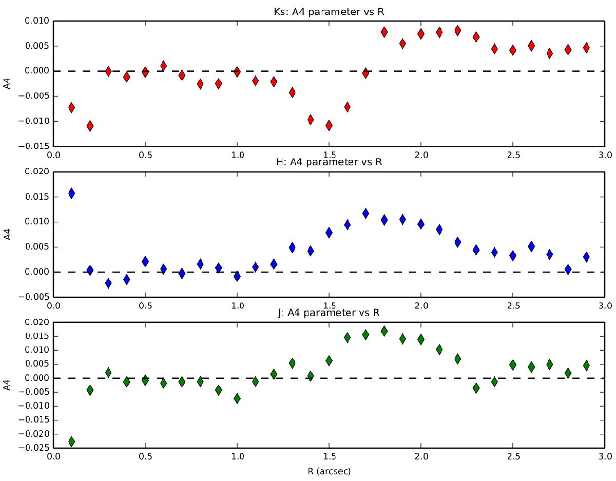
Fig. 15

A4 parameter versus radius for NGC 3718. From top to bottom, A4 parameter for the KS (red/top), H (blue/middle), and J (green/bottom) bands, respectively, versus R in arcsec. In all plots the dashed black line represents the border between a disky and a boxy object.
Current usage metrics show cumulative count of Article Views (full-text article views including HTML views, PDF and ePub downloads, according to the available data) and Abstracts Views on Vision4Press platform.
Data correspond to usage on the plateform after 2015. The current usage metrics is available 48-96 hours after online publication and is updated daily on week days.
Initial download of the metrics may take a while.