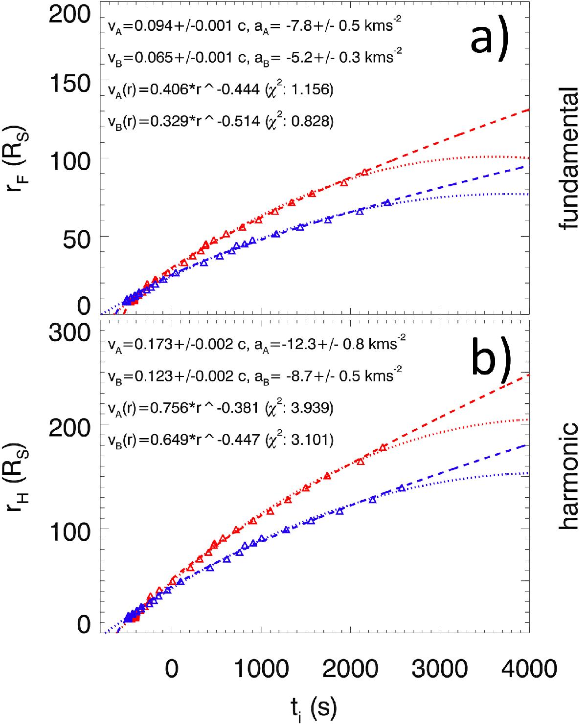
Fig. 2

Analysis of measurements recorded from 14:15 to 16:00 UT on September 27, 2013: radial distances from the Sun vs. corrected times for STEREO-A (in red) and STEREO-B (in blue) assuming the F- (panel a)) and H-component (panel b)). Dotted lines represent results of the polynomial model (Eq. (3)). Dashed lines show the power law model (Eq. (6)). Obtained parameters of both models are shown on the top.
Current usage metrics show cumulative count of Article Views (full-text article views including HTML views, PDF and ePub downloads, according to the available data) and Abstracts Views on Vision4Press platform.
Data correspond to usage on the plateform after 2015. The current usage metrics is available 48-96 hours after online publication and is updated daily on week days.
Initial download of the metrics may take a while.