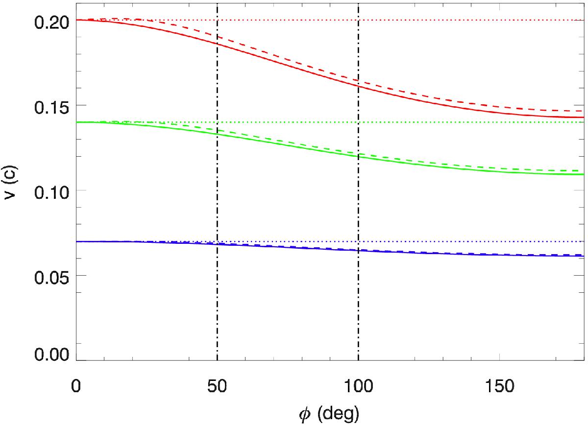
Fig. A.1

Simulated beam speeds vs. deviation angle Δφ. Colors denote beam speeds (red: 0.2c, green: 0.14c, and blue: 0.07c). The fundamental and harmonic components are represented by solid and dashed lines, respectively. Horizontal lines indicate initial speeds. Dash-dotted lines show maximal and mean separation angles between the two STEREO in our data set.
Current usage metrics show cumulative count of Article Views (full-text article views including HTML views, PDF and ePub downloads, according to the available data) and Abstracts Views on Vision4Press platform.
Data correspond to usage on the plateform after 2015. The current usage metrics is available 48-96 hours after online publication and is updated daily on week days.
Initial download of the metrics may take a while.