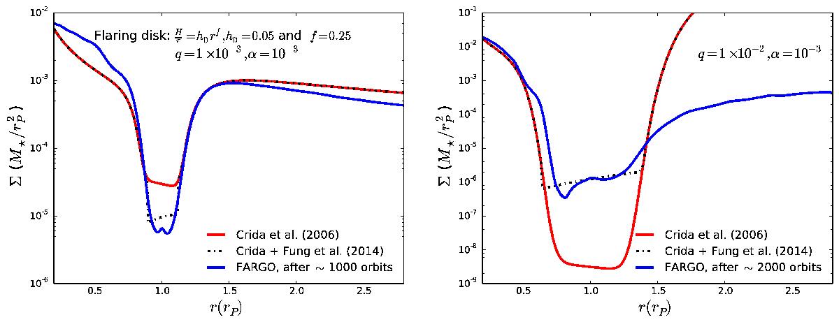
Fig. 1

Comparison between the analytical gap prescriptions and hydro-simulations when a massive planet opens a gap. The disk is assumed to be a flared disk, i.e. H/r = h0rf, with h0 = 0.05 the aspect ratio at the position of the planet, and f flaring index equal to 0.25. The planet-to-star mass ratio is q = 1 × 10-3 (left panel) and q = 1 × 10-2 (right panel), and the planet position is rp = 1. The disk viscosity is assumed to be α = 10-3 for both cases.
Current usage metrics show cumulative count of Article Views (full-text article views including HTML views, PDF and ePub downloads, according to the available data) and Abstracts Views on Vision4Press platform.
Data correspond to usage on the plateform after 2015. The current usage metrics is available 48-96 hours after online publication and is updated daily on week days.
Initial download of the metrics may take a while.