Free Access
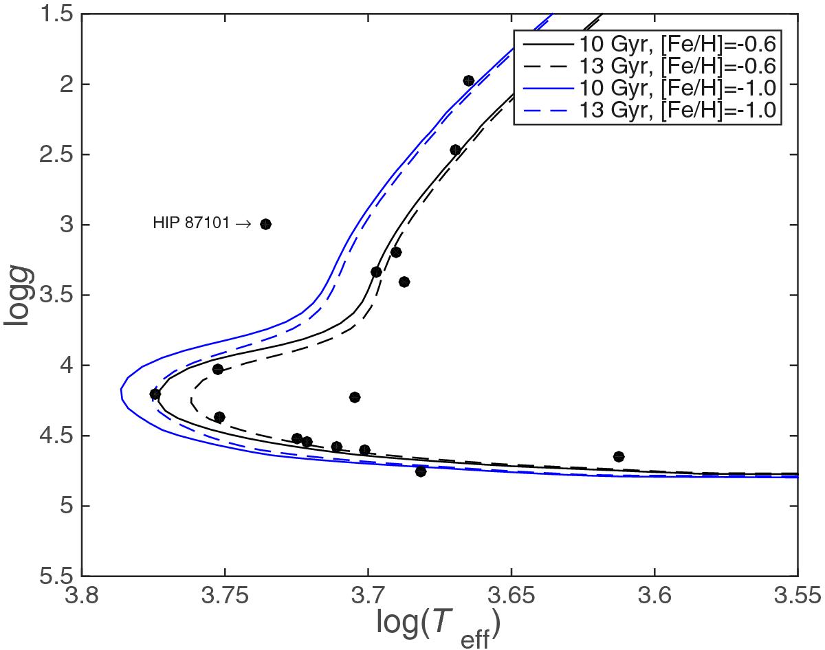
Fig. 1

Teff vs. log g diagram. Filled circles indicate our main sample from the Hipparcos catalogue. Isochrones at different ages (10 and 13 Gyr) and metallicities (–0.6 and –1.0 dex) according to the Yonsei-Yale models (Demarque et al. 2004) are shown.
Current usage metrics show cumulative count of Article Views (full-text article views including HTML views, PDF and ePub downloads, according to the available data) and Abstracts Views on Vision4Press platform.
Data correspond to usage on the plateform after 2015. The current usage metrics is available 48-96 hours after online publication and is updated daily on week days.
Initial download of the metrics may take a while.