Free Access
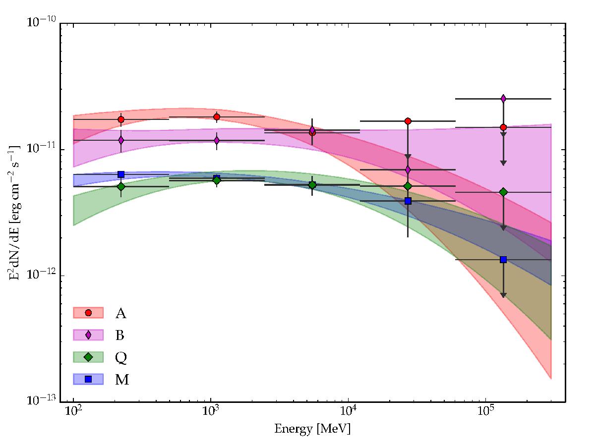
Fig. 7

Spectral energy distribution for Fermi/LAT data. Data are fitted using log-parabola models. The following colours corresponds to different time epochs: flare A (red), flare B (magenta), quiescent period (Q) defined in Sect. 3.1 (green), and all data period (M, blue).
Current usage metrics show cumulative count of Article Views (full-text article views including HTML views, PDF and ePub downloads, according to the available data) and Abstracts Views on Vision4Press platform.
Data correspond to usage on the plateform after 2015. The current usage metrics is available 48-96 hours after online publication and is updated daily on week days.
Initial download of the metrics may take a while.