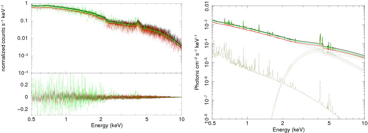
Fig. 4

Left panel: pn spectra from the three Obsids with best-fit model obtained for a single mkcflow in the 0.3−3.0 keV temperature range. The lower panel shows the residual with respect to the best-fit model. Right panel: components of the best-fit model of the pn spectra (three for each component, shown with dotted lines) obtained for a single mkcflow in the 0.3−3.0 keV temperature range. The mkcflow component is the lower thermal component, while the AGN contribution is virtually negligible below 2 keV.
Current usage metrics show cumulative count of Article Views (full-text article views including HTML views, PDF and ePub downloads, according to the available data) and Abstracts Views on Vision4Press platform.
Data correspond to usage on the plateform after 2015. The current usage metrics is available 48-96 hours after online publication and is updated daily on week days.
Initial download of the metrics may take a while.