Free Access
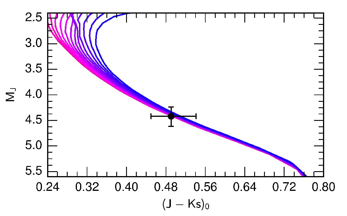
Fig. 5

Colour–magnitude diagram (MJ,(J − Ks)0) of the lens. The curves are a set of isochrones from 2 Gyr (in pink) to 8 Gyr (in blue) with solar metallicity (Bressan et al. 2012). The black cross indicates the range of colours and magnitudes explored by the MCMC at the 1σ level.
Current usage metrics show cumulative count of Article Views (full-text article views including HTML views, PDF and ePub downloads, according to the available data) and Abstracts Views on Vision4Press platform.
Data correspond to usage on the plateform after 2015. The current usage metrics is available 48-96 hours after online publication and is updated daily on week days.
Initial download of the metrics may take a while.