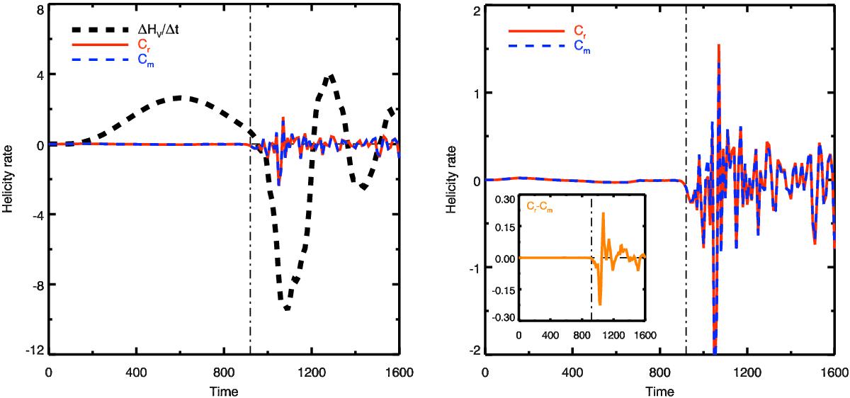
Fig. 5

Difference between the helicity variation rate and the boundary helicity flux computed in the practical DeVore gauge. The relative helicity conservation criterion Cr (red line, Eq. (41)) and the magnetic helicity dissipation criterion Cm (blue line, Eq. (42)) are plotted relative to the helicity variation rate (, black dashed line, left panel) and in their own amplitude range (right panel). The inset in the right panel presents the difference between Cr and Cm, i.e., the potential helicity volume variations dH/ dtp,var.
Current usage metrics show cumulative count of Article Views (full-text article views including HTML views, PDF and ePub downloads, according to the available data) and Abstracts Views on Vision4Press platform.
Data correspond to usage on the plateform after 2015. The current usage metrics is available 48-96 hours after online publication and is updated daily on week days.
Initial download of the metrics may take a while.